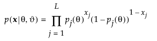
この式で、p(x|θ, ϑ)は、受験者の能力をθ、項目に関するパラメータのベクトルをϑとした場合の、応答ベクトルxが生じる確率です。項目に関するパラメータの個数は、モデル(1PL、2PL、3PL)によって異なります。
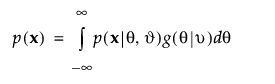
この式で、g(θ|ν)は、受験者の能力の分布を表しています。νは、その分布の位置パラメータや尺度パラメータを表すベクトルです。JMPでは、このg(θ|ν)に、平均が0で標準偏差が1の正規分布が仮定されています。
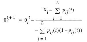
θは、推定したい受験者の能力(この値を、尤度が最大になるように推定する)
tは、反復回数
Lは、項目数
xiは、観測された応答


