m個のカテゴリカルな変数に対する多重対応分析における通常の慣性は、Burt表から計算される固有値(これを、ukと記します)で、これは
の対角要素です。こうして計算された慣性は、データに適合していても、過度に小さくなってしまうという欠点があります。Benzécri(1979)は、この欠点を補うために、次のような慣性の調整を提案しました。この調整済み慣性は、Greenacre(1984, p. 145)でも説明されています。
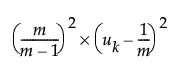
の対角要素です。こうして計算された慣性は、データに適合していても、過度に小さくなってしまうという欠点があります。Benzécri(1979)は、この欠点を補うために、次のような慣性の調整を提案しました。この調整済み慣性は、Greenacre(1984, p. 145)でも説明されています。この調整は、1/mより大きい慣性すべてについて、調整済み慣性の和に対する、各調整済み慣性の割合を計算します。
Greenacre(1984, p. 156)は、Benzécriが提案した方法では、逆に、適合度を過大に評価してしまうと指摘しました。Greenacreは、次のような方法で計算した値を分母にして、調整済み慣性の割合を計算することを提案しました。
ただし

は慣性の平方和、