このバージョンのヘルプはこれ以降更新されません。最新のヘルプは https://www.jmp.com/support/help/ja/15.2   からご覧いただけます。


T2プロット
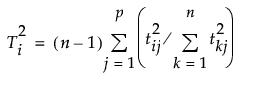
i番目のオブザベーションのT2値は次式で計算されます。
ここで、tijは、第i行における第j因子のXスコア、pは因子数、nはモデルの学習に使用されたオブザベーションの個数です。 検証データが使われていない場合、nはオブザベーションの総数です。
T2プロットの管理限界は次のように計算されます。
((n-1)2/n)*BetaQuantile(0.95, p/2, (n-p-1)/2)
ここでも、pは因子数、nはモデルの学習に使用されたオブザベーションの個数です。検証データが使われていない場合、nはオブザベーションの総数です。Tracy et al.(1992)を参照してください。