Hoskuldsson(1988)はスコアを説明変数としたYに対する回帰モデルとして見れば、PLSモデルは線形重回帰モデルと形式的に似ていると述べています。 彼は、この類似性を使って、予測値の分散の近似式を紹介しています。Umetrics(1995)も参照してください。ただし、Denham(1997)は、PLSの予測値は、Yの非線形関数であると指摘しています。彼は、予測値の信頼区間を求めるのに、ブートストラップや交差検証の手法を推奨しています。「PLS回帰」プラットフォームでは、Umetrics(1995)で説明されている正規分布に基づく計算を用いています。
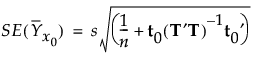
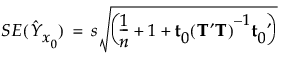
aを因子の数とします。s2を、データが中心化されている場合は残差平方和をdf = n - a -1で除算したもの、データが中心化されていない場合は残差平方和をdf = n - aで除算したものとします。このs2は、σ2の推定値です。
x0における応答変数の平均に対する標準誤差は、次式で推定されます。
x0における個々の応答値に対する標準誤差は、次式で推定されます。



