1つの因子を0から0.75に変更は、予測プロファイルの使い方を説明しています。予測プロファイルを解釈する際、次のような点に注意が必要です。
|
•
|
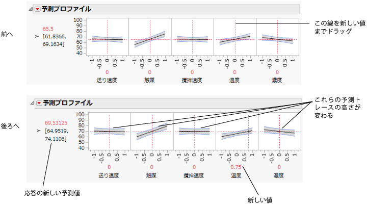
因子の値を変更してもその因子の予測トレースは変化しませんが、他のすべての因子の予測トレースは変化します。応答変数(Y)の値を示す水平線は、Xの現在値を表す垂直線と予測トレースとの交点を必ず通ります。
|
図2.4 1つの因子を0から0.75に変更
「Tiretread.jmp」データを例として、(「シリカ」の値を固定し、)「引張応力」を「硫黄」と「シラン」の関数として表した式の応答曲面を見てみましょう。グリッドは、「硫黄」の値2.25において「シラン」と平行に曲面を切断しています。グリッドと曲面の交差線に注目してください。この交差線をたどっていったものが、「シラン」のプロファイルです。同じように、グリッドは、「シラン」の値50において「硫黄」と平行に曲面を切断しています。この交差線をたどっていったものが、「硫黄」のプロファイルです。
図2.5 断面としてのプロファイル
次に、「硫黄」の値を2.25から1.5に変えてみましょう。
図2.6 断面としてのプロファイル
予測プロファイルを見ると、「硫黄」の新しい値は同じ曲線に沿って動いているだけで、「硫黄」の曲線自体には変化がありません。しかし、「シラン」のプロファイルは、新しい「硫黄」の値で作成されているので、変化しています。前よりも位置が全体的に高く、頂点がずれて現在の値(50)に近くで最大となっています。
図2.7 連続尺度の因子の「因子設定」ウィンドウ



