すべての「応答のスクリーニング」のプロットには、Benjamini and Hochberg(1995)で説明されているFDR(False Discovery Rate; 偽発見率)に関して多重調整したp値が使われています。Westfall et al.(2011)も参照してください。このBenjamini-Hochberg法においては、p値が一様分布に従い、独立していると仮定しています。
Benjamini-Hochberg法で計算すると、FDRが水準α以内になります。この方法は、以下の手順で計算されます。
|
1.
|
|
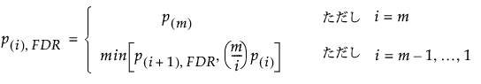
2.
|
p値を小さい順に並べます。小さい順に並べたp値を
と表記します。 |
|
3.
|
|
4.
|
こうすれば、FDRがαを上回りません。
と表記します。
となっている続きのなかで最大の