平滑化法モデルとして[単純移動平均]を選択すると、「単純平滑化平均の指定」ウィンドウが開きます。以下の説明において、単純移動平均(SMA; Simple Moving Average)におけるウィンドウの幅をwとします。また、w個の連続する観測値の平均を、ft=(yt+yt-1+yt-2+...yt-(w-2)+yt-(w-1))/wとします。
図16.9 「単純平滑化平均の指定」ウィンドウ
平滑化を行うウィンドウの幅(w)は、平均を取る連続した点の数を指します。幅が大きいほど、時系列は平滑になります。
|
–
|
|
–
|
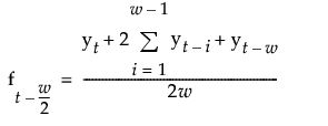
wが偶数の場合、ウィンドウは、該当の時点を中心とすることができません。このオプションは、ほぼ中心化された2つのウィンドウを構成し、それら2つの移動平均の平均を取ります。このオプションでは、移動平均は次のように求められます。
平滑化法モデルのオプションのうち、[単純移動平均]以外のものを選択すると、平滑化法モデルの指定ウィンドウが開きます。ウィンドウのタイトルやオプションの種類は、選択した平滑化法モデルによって異なります。
図16.10 平滑化法モデルの指定ウィンドウ
分析者独自の制約を設定するためのパネルが表示されます。開かれたパネルにて、個々の平滑化の重みに対して独自の制約を設定できます。各平滑化の重みの名前の隣にあるポップアップメニューを使って、「境界あり」、「固定」、「制約なし」のどれかを選択してください。重みを特定の値に固定したり、重みに境界を設定したりするには、テキストボックスに正または負の実数を指定します。
図16.11 カスタムの平滑化重み
カスタムの平滑化重みの例では、「水準」の重み(α)が0.3の値に固定され、「トレンド」の重み(γ)に対する境界が0.1と0.8に設定されています。そのため、「水準」の重みは0.3に固定されて、「トレンド」の重みは0.1~0.8の範囲内になります。重みを特定の値に固定すれば、 その特定の重みのモデルの予測値や残差を計算できます。



