|
•
|
|
•
|
|
•
|
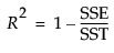
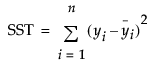
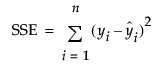
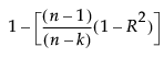
無条件の平方和(SSE)を自由度(n-k)で割ったもの。つまり、分散推定値はSSE / (n – k)で求められます。これはランダムショックatの分散の推定値です。これについては、第 “ARIMAモデル”の節で説明します。
パラメータ推定値に対する尤度関数値の自然対数を-2倍したもの。値が小さいほどよくあてはまっています。『基本的な回帰モデル』の付録「統計的詳細」を参照してください。
パラメータの名前。各モデルの節に説明があります。モデルには、切片や平均項を含むものがあり、 その場合は関連する定数推定値も表示されます。定数推定値の定義については、ARIMAモデルの説明を参照してください。
各パラメータがゼロであるという帰無仮説の検定統計量。パラメータの検定統計量は、パラメータ推定値とその標準誤差の比です。帰無仮説が成立している場合、この統計量はStudentのt分布に近似的に従います。一般に、t値の絶対値が2より大きいと、そのパラメータ推定値は有意であると判定できます。絶対値が2というのは、0.05の有意水準にほぼ相当するからです。
表示される残差統計量の種類を制御します。各種類については第 “「時系列分析」プラットフォームのオプション”に説明がありますが、 これらのオプションは残差系列に適用されます。





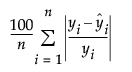
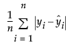
は1期先予測値、
は平均

