μtは、時間によって変化する平均項
βtは、時間によって変化する傾き項
s(t)は、時間によって変化する季節項
atは、ランダムショック
すべての平滑化モデルにおいて、これらの推定値の変化を漸化式で記述したものが定義されています。平滑化の式は、平滑化の重みと呼ばれるモデルパラメータをもとに作成されます。
αを、水準に対する平滑化の重みとします。
γを、トレンドTtに対する平滑化の重みとします。
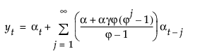
ϕを、トレンドダンプに対する平滑化の重みとします。
δを、季節効果に対する平滑化の重みとします。
平滑化式は、1つの重みαを使って次のように定義されます。
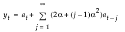
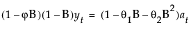
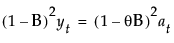
このモデルは、次のような制約をもつARIMA(0,1,1)(0,1,1)1モデルと等価です。
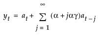
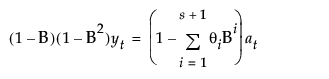
このモデルは、次式で表される季節ARIMA(0,1,s+1)(0,1,0)sモデルと等価です。

この式で、 



ここで
および 



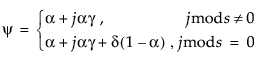
ここで
および 













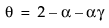
この式で、 





