メモ: ラグの数は、デフォルトで0から始まります。相関の計算をラグ1から始める場合は、グラフの作成前に、JMPの環境設定を変更してください。[ファイル]>[環境設定]>[プラットフォーム]>[時系列分析]を選択し、[自己相関プロットでラグ0を非表示]チェックボックスをオンにします。
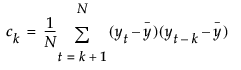
第kラグの自己相関は、次式で計算されます。
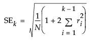
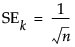
は欠測していないN個の点の平均です。定義上、1番上の自己相関(ラグ0の自己相関)は、常に1になります。第kラグの偏自己相関。
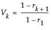
(すべての kに対して)バリオグラムでは、k個のラグだけ離れた点との間に見られる差の分散が、1つのラグだけ離れた点との差の分散と比較されます。バリオグラムは、次の計算式を使って自己相関から計算されます。
この式で、 

