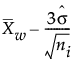
X̅管理図の下側管理限界(LCL)= 

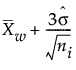
X̅管理図の上側管理限界(UCL)= 

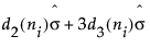
R管理図の下側管理限界(LCL)= 

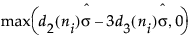
R管理図の上側管理限界(UCL)= 

X̅-R管理図では、標準偏差は次式により推定されます。
σ = 工程の標準偏差
Nは、
であるサブグループの数
であるサブグループの数
で計算されます。この式で、
は
= サブグループ平均の重み付き平均