JMP 14.2オンラインマニュアル
はじめてのJMP
JMPの使用法
基本的な統計分析
グラフ機能
プロファイル機能
実験計画(DOE)
基本的な回帰モデル
予測モデルおよび発展的なモデル
多変量分析
品質と工程
信頼性/生存時間分析
消費者調査
スクリプトガイド
スクリプト構文リファレンス
JMP iPad Help (英語)
JMP Interactive HTML (英語)
機能インデックス
JMP統計機能ガイド
このバージョンのヘルプはこれ以降更新されません。最新のヘルプは
https://www.jmp.com/support/help/ja/15.2
からご覧いただけます。
品質と工程
•
管理図ビルダー
•
「管理図ビルダー」プラットフォームの統計的詳細
• U管理図とC管理図の管理限界
前へ
•
次へ
U管理図とC管理図の管理限界
U管理図とC管理図では、管理限界は次のように計算されます。
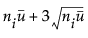
U管理図の下側管理限界(LCL)=
U管理図の上側管理限界(UCL)=
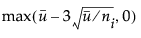
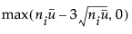
C管理図の下側管理限界(LCL)=
C管理図の上側管理限界(UCL)=
管理限界は、
n
i
に従って変化します。
u
i
は、
i
番目のサブグループにおけるユニットあたりの不適合数。一般に、
u
i
=
c
i
/
n
i
c
i
は、
i
番目のサブグループにおける不適合数の合計
n
i
は、
i
番目のサブグループの検査ユニット数
ū
は、全サブグループのユニットあたり不適合数の平均。数量
ū
は、重み付き平均として計算される
N
は、サブグループの数