JMP 14.2オンラインマニュアル
はじめてのJMP
JMPの使用法
基本的な統計分析
グラフ機能
プロファイル機能
実験計画(DOE)
基本的な回帰モデル
予測モデルおよび発展的なモデル
多変量分析
品質と工程
信頼性/生存時間分析
消費者調査
スクリプトガイド
スクリプト構文リファレンス
JMP iPad Help (英語)
JMP Interactive HTML (英語)
機能インデックス
JMP統計機能ガイド
このバージョンのヘルプはこれ以降更新されません。最新のヘルプは
https://www.jmp.com/support/help/ja/15.2
からご覧いただけます。
品質と工程
•
管理図ビルダー
•
「管理図ビルダー」プラットフォームの統計的詳細
• G管理図の管理限界
前へ
•
次へ
G管理図の管理限界
負の二項分布は、幾何分布やPoisson分布を拡張した分布です。Poisson分布に基づいて計算される理論的な分散よりもデータの分散が大きいときに、負の二項分布は使われています。負の二項分布に基づく管理限界としては、一般的には、正確に求める方法と、近似的に求める方法があります。近似的な管理限界は、負の二項分布をカイ2乗分布で近似します。なお、サブグループの標本サイズにかかわらず、すべてのデータが個々の測定値として処理されます。
Xが(
μ
,
k
)をパラメータとする負の二項分布に従うとした場合、次式が近似的に成り立ちます。
P
(
X
≤
r
) ~
P(X
2
v
<
)
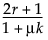
ここで
は、自由度
v
= 2
μ
/(1+
μ
k
)のカイ2乗分布に従う変数。
この式に従い、近似的な上側管理限界と下側管理限界を求めることができます。片側の有意水準(片側方向で第1種の誤りを犯す確率)が
α
であるとき、近似的な上側管理限界(UCL)は次式を満たします。
P
(
X
> UCL) = 1 -
P(X
2
v
<
) =
α
同様に、近似的な下側管理限界(LCL)は次式を満たします。
P
(
X
< LCL) = 1 -
P(X
2
v
>
) =
α
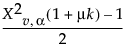
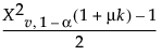
したがって、近似的な下限管理限界(LCL)と上限管理限界(UCL)は、それぞれ次のように計算されます。
UCL =
LCL =
ここで
は、自由度が
v
= 2
μ
/(1+
μ
k
)であるカイ2乗分布の上限(および下限)パーセント点です。なお、下側管理限界が負の数になった場合は0に設定されます。
負の二項分布に従う管理限界については、Hoffman(
2003
)を参照してください。