JMP 14.2オンラインマニュアル
はじめてのJMP
JMPの使用法
基本的な統計分析
グラフ機能
プロファイル機能
実験計画(DOE)
基本的な回帰モデル
予測モデルおよび発展的なモデル
多変量分析
品質と工程
信頼性/生存時間分析
消費者調査
スクリプトガイド
スクリプト構文リファレンス
JMP iPad Help (英語)
JMP Interactive HTML (英語)
機能インデックス
JMP統計機能ガイド
このバージョンのヘルプはこれ以降更新されません。最新のヘルプは
https://www.jmp.com/support/help/ja/15.2
からご覧いただけます。
品質と工程
•
管理図ビルダー
•
「管理図ビルダー」プラットフォームの統計的詳細
• 3種の管理図の管理限界
前へ
•
次へ
3種の管理図の管理限界
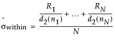
群内シグマ
3種の管理図における群内シグマ推定値は、範囲の平均を使用して推定されます。この群内シグマ推定値を求めるのに適切な管理図は、[平均(測定値)]・[平均(移動範囲)]・[R管理図]だけです。
この式では、次のような表記を使用しています。
R
i
=
i
番目のサブグループの範囲
n
i
=
i
番目のサブグループの標本サイズ
d
2
(
n
i
)は、母標準偏差が1である
n
i
個の独立した正規分布に従う確率変数の範囲の期待値
N
=
であるサブグループの数
群間シグマ
3種の管理図における群間シグマ推定値は、サブグループの平均の移動範囲を使用して推定されます。
この式では、次のような表記を使用しています。
MR
= (
MR
2
+
MR
3
+...+
MR
N
)/(
N-1
)で算出した非欠測値の移動範囲の平均(
MR
i
= |y
i
- y
i-1
|
)
d
2
(2)は、母標準偏差が1である2個の独立した正規分布に従う確率変数の範囲の期待値
(サブグループの標本サイズの調和平均)。
メモ:
群間シグマが負の値になると推定される場合、0に設定されます。
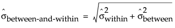
群間+群内シグマ
3種の管理図における群間+群内シグマ推定値は、群内シグマと群間シグマ推定値の組み合わせを使用して推定されます。