このバージョンのヘルプはこれ以降更新されません。最新のヘルプは https://www.jmp.com/support/help/ja/15.2   からご覧いただけます。


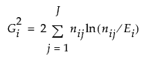
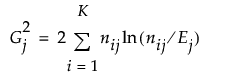
nijは、グループjにおける要因iの観測度数です。
Ejは、グループjにおける期待度数です。これは、原因全体にわたる、各グループの平均度数です。
Eiは、原因iの期待度数です。これは、原因全体にわたる、各現員の平均度数です。