工程の標準偏差をσとします。「工程能力分析」プラットフォームでは、次の2種類の工程能力指数を計算できます。1種類目のPpk指数では、サブグループに左右されない方法で、データ全体を用いてσを推定しています。このデータ全体を用いた推定値は、特殊原因と一般原因の両方のばらつきを含んでいる可能性があります。一方、2種類目のCpk指数では、一般原因によるばらつきだけを捉えようとした推定値に基づいています。このCpk指数は、群内だけの変動、もしくは、「群内+群間」の変動を用いて、σが推定されます。群内シグマは、工程が安定したときの標準偏差を予測しています。工程が安定していない場合、群内変動から推定されたシグマの推定値は、実際のσとは著しく異なる場合があります。
N = データ全体における欠測値以外の観測値の個数
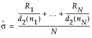
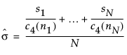
群内変動に基づいたシグマは、次の3方法のいずれかによってσを推定します。
起動ウィンドウでサブグループ列または一定のサブグループサイズを指定した場合、計算したい群内変動の統計量を指定できます。第 “「工程能力」プラットフォームの起動”を参照してください。サブグループ列、一定のサブグループサイズ、または履歴シグマを指定しなかった場合、JMPは、上記のうちの3つ目の手法(サイズ2のサブグループの移動範囲)を使用して群内シグマを推定します。
N =
であるサブグループの数
であるサブグループの数 N =
であるサブグループの数
であるサブグループの数 移動範囲から推定される群内シグマは、個々の測定値-移動範囲管理図(IR管理図)で計算される標準偏差の推定値と同じです。
d2(2)は、母標準偏差が1である2個の独立した正規分布に従う確率変数の範囲の期待値
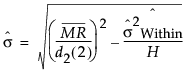
群間変動に基づいたσの推定値は、サブグループ平均の移動範囲から推定されます。
d2(2)は、母標準偏差が1である2個の独立した正規分布に従う確率変数の範囲の期待値

= データ全体における欠測値以外の観測値の平均




