JMP 14.2オンラインマニュアル
はじめてのJMP
JMPの使用法
基本的な統計分析
グラフ機能
プロファイル機能
実験計画(DOE)
基本的な回帰モデル
予測モデルおよび発展的なモデル
多変量分析
品質と工程
信頼性/生存時間分析
消費者調査
スクリプトガイド
スクリプト構文リファレンス
JMP iPad Help (英語)
JMP Interactive HTML (英語)
機能インデックス
JMP統計機能ガイド
このバージョンのヘルプはこれ以降更新されません。最新のヘルプは
https://www.jmp.com/support/help/ja/15.2
からご覧いただけます。
品質と工程
•
計量値用ゲージチャート
•
変動性図の統計的詳細
• 判別比の統計的詳細
前へ
•
次へ
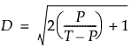
判別比の統計的詳細
判別比とは、測定誤差の分散を、測定値全体の合計分散と比べた指標です。 判別比は、枝分かれしたものも含め、すべての主効果に対して計算されます。判別比(
D
)は、次式で計算されます。
ここで
P
= 該当する要素の分散(の推定値)
T
= 合計分散(の推定値)