JMP 14.2オンラインマニュアル
はじめてのJMP
JMPの使用法
基本的な統計分析
グラフ機能
プロファイル機能
実験計画(DOE)
基本的な回帰モデル
予測モデルおよび発展的なモデル
多変量分析
品質と工程
信頼性/生存時間分析
消費者調査
スクリプトガイド
スクリプト構文リファレンス
JMP iPad Help (英語)
JMP Interactive HTML (英語)
機能インデックス
JMP統計機能ガイド
このバージョンのヘルプはこれ以降更新されません。最新のヘルプは
https://www.jmp.com/support/help/ja/15.2
からご覧いただけます。
信頼性/生存時間分析
•
寿命の一変量
•
「競合原因分析」レポート
• 競合原因分析モデル
前へ
•
次へ
競合原因分析モデル
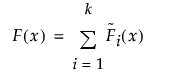
故障原因が競合している状況では、全体の累積分布関数は次のように表されます。
ここで、
F
i
(x)
は
i
番目の故障原因に対する累積分布関数で、
k
は故障原因の総数です。関数
F
i
(x)
は、故障原因ごとに個別に仮定されています。各関数は、
i
番目の故障原因による故障確率だけを考慮しており、原因i以外の原因による故障を考慮していません。
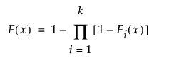
全体の累積分布関数は、次のようにも表すこともできます。
ここで、各
は、値域が[0, 1]である単調増加関数です。関数
は、部分分布(subdistribution)と呼ばれています。部分分布によって表された累積分布関数は、当該の故障原因以外による故障も一緒に考慮しています。そのため、部分分布は、各原因による故障の割合を予測するのに使えます。