三角関数には、以下のものがあります。構文の詳細については、『スクリプトガイド』の「JSL関数」章を参照してください。
Exp(x) - 1を戻します。xが非常に小さい場合に、より正確な計算結果を戻します。
xの自然対数を戻します。xが0の場合は例外的に0を戻します。この関数は、数値微分を行う場合に役立ちます。
自然対数(底e)を戻します。デフォルトの底を変更するには、引数を選択してから、カンマを入力するか、またはキーパッドの挿入ボタンをクリックします。すると、底が表示されて編集可能になります。Logの引数は、どのような数式でもかまいません。Log(e)は1、Log(32, 2)は5になります。Log10関数は、底が10の対数だけを計算します。
Log(1+x)を戻します。xが非常に小さい場合に、より正確な計算結果を戻します。
引数の累乗根を計算します。Rootの指数はデフォルトで2に設定されています。指数を変更するには、指数の引数を強調表示し、値を入力します。
1から指定した引数までのすべての整数の積(引数の階乗)を戻します。たとえば、Factorial(5)は120です。
n個のものから一度にk個とった場合の組み合わせの数を戻します(nCk)。この関数は、階乗を使った通常の式で表せば、n!/ (k!(n – k)!)です。たとえば、NChooseK(5,2)は10になります。
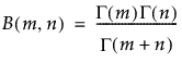
ベータ関数の値を戻します。ベータ関数は2パラメータで、ガンマ関数と次のような関係があります。
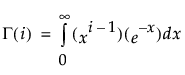
Gamma関数に引数を1つしか指定しなかった場合は、積分の上限を無限大とします。オプションの第2引数を指定した場合、積分の上限を、第2引数の値とします。ガンマ関数には、次のような関係があります。
|
•
|
|
•
|
|
•
|
Γ(0.5) = πの平方根
|
ガンマ関数の関数値の自然対数を戻します。Log関数とGamma関数を一緒に使っても、同じ結果が得られます。ただし、LGamma関数だけで計算したほうが、Log関数とGamma関数を一緒に使って計算するよりも、効率的です。NChooseK関数の計算には、裏ではLGamma関数が使用されています。NChooseK関数の結果は、LGamma関数を内部的に使っているので、常に正確に整数であるとは限りませんが、 結果が整数に近い場合はFloor関数によって丸められています。
Gamma関数の対数の導関数です。
Digamma関数の導関数、すなわちGamma関数の対数の2次微分です。






