信頼性/生存時間分析 > 累積損傷 > 「累積損傷」プラットフォームの別例
公開日: 04/01/2021

「累積損傷」プラットフォームの別例

ここでは、「累積損傷」プラットフォームを使った例をさらに紹介します。

新しいデータのシミュレーション例

この例では、「累積損傷」の「シミュレーション設定」パネルを使って、乱数データを生成します。「累積損傷」プラットフォームの例の例と同じデータを使用します。

1. [ヘルプ]>[サンプルデータライブラリ]を選択し、「Reliability」フォルダにある「CD Step Stress.jmp」「CD Step Stress Pattern.jmp」を開きます。

2. 「CD Step Stress」データテーブルで「累積損傷」スクリプトを実行します。

3. 「ストレスパターン」の赤い三角ボタンをクリックし、[シミュレーション]を選択します。

図5.8 「シミュレーション設定」パネル 

Image shown here

「ストレスパターン」レポートに「シミュレーション設定」パネルが表示されます。シミュレーションの設定として、初期の設定状態では、「分布」には[Weibull]が選択されています。また、「b0」と「b1」には、推定値が代入されています。

4. 「分布」で[指数]を選択します。

5. 「b0」に「10」と入力します。

6. 「b1」に「-18」と入力します。

7. (オプション)「乱数シード値」に「14678」と入力します。

8. [シミュレーション]をクリックします。

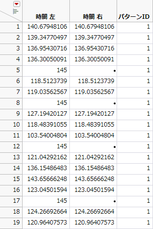
図5.9 シミュレーションの結果(一部) 

Image shown here

図5.9は、シミュレーションされたデータテーブルの一部です。「パターンID」が「1」であるデータでは、すべてのデータが145分以下となっています。起動ウィンドウの「パターンの延長」で[終了する]を選択したため、「パターンID」が「1」である条件に関しては、145分を越えたデータは右側打ち切りにしています。

より詳細な情報が必要な場合や、質問があるときは、JMPユーザーコミュニティで答えを見つけましょう (community.jmp.com).