公開日: 04/01/2021

近似F検定

F値と自由度の計算を説明するのに以下の記号を用います。のランクを、pと記します。のランクを、qと記します。ここで、行列Lは、において検定対象となっている効果に関連する要素を特定するための行列です。誤差の自由度をvと記し、pqの小さい方の値をsと記します。また、も設定します。

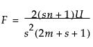
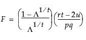
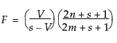
表9.2 は、対応する検定統計量からそれぞれ計算した近似F値です。

表9.2 近似F統計量

検定

近似F

分子自由度

分母自由度

WilksのΛ

Pillaiのトレース

Hotelling-Lawleyのトレース

Royの最大根

より詳細な情報が必要な場合や、質問があるときは、JMPユーザーコミュニティで答えを見つけましょう (community.jmp.com).