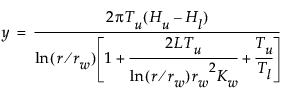
Worley(1987)は、2つの帯水層まで地面から掘った試錘孔を水が流れる様子をモデルにしました。応答変数yは、試錘孔を流れる水流の速度(単位はm3/年)を表し、次の式で計算されます。

このモデルには8つの因子があります。
rw = 試錘孔の半径(0.05~0.15m)
r = 影響の半径(100~50,000m)
Tu = 上部帯水層の透過率(63,070~115,600m2/年)
Hu = 上部帯水層の水圧(potentiometric head)(990~1100m)
Tl = 下部帯水層の透過率(63.1~116m2/年)
Hl = 下部帯水層の水圧(700~820m)
L = 試錘孔の長さ(1120~1680m)
Kw = 試錘孔の透水係数(9855~12,045m/年)
球の詰め込み計画を使って、応答yの計算に使われる一定の条件を求めます。次に、計画で使用した入力範囲に対し、真のモデルの予測モデルを作成します。この予測モデルを評価することは、8つの因子が応答に及ぼす影響を理解するために役立ちます。