目標値のない場合、上側と下側の両方の仕様限界があるときと、片側の仕様限界しかないときが考えられます。この節では、ゴールプロットと工程能力箱ひげ図の表記法で定義した表記を使用します。
j番目の列に対して目標値が指定されていない場合、下式で変換した値を使って、工程能力箱ひげ図は描かれます。

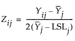
下側仕様限界だけが指定されているとしましょう。(上側仕様限界が指定されている場合も同様です。)
j番目の列に対して目標値が指定されていない場合、下式で変換した値を使って、工程能力箱ひげ図は描かれます。

注: 列に片側の仕様限界しかなく、目標値もない場合、標本平均が仕様限界の外にあると、その列の工 程能力箱ひげ図は作成されません。