個々の満足度関数は、3つの定義点を通る滑らかな区分関数です。この3つの点(低、中、高)は制御点と呼ばれています。これらの制御点を対話的に操作することで、満足度関数の形状を変更できます。
• 最小化と最大化の満足度関数は3つの区分から成り、裾の部分は指数関数、中間部分は3次関数で補間されます。
• 目標に合わせる場合の満足度関数も、3つの制御点を通る滑らかな区分関数になっています。中間値の両側は、別々の正規分布密度関数になっています。そして、裾の部分は指数関数になっています。
• 応答目標を[なし]に指定した場合は、満足度関数を自由に指定できます。両端の値に比べ、中間値での満足度が低くなるように設定する場合は、このオプションを使用してください。計算式を使って、分析者独自の満足度関数を定義することもできます。カスタマイズした満足度関数を参照してください。
[低]および[高]の制御点は、0または1にはできません。このように構成された満足度関数は、最大化、目標に合わせる、最小化といった設定を切り替えるのに適しています。
注: JMPでは、Derringer and Suich(1980)の関数型は使用していません。それらの式は、滑らかでなく、JMPの最適化アルゴリズムでうまく機能しないことがあるためです。
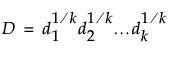
複数の応答変数を最適化する際には、全体に対する満足度関数を最大化します。複数の応答変数に対する全体の満足度関数は、各応答変数の満足度関数の幾何平均として定義されています。
k個の応答変数に対する個々の満足度関数を、d1、d2、...、dkと表すとします。この場合、全体の満足度関数は、次のように、個々の満足度関数の幾何平均と定義されています。

「重要度」の値を、列プロパティの[応答変数の限界]の設定画面または「応答目標」ウィンドウで定義した場合は、その値が全体の満足度関数に組み込まれます。重要度の値は、合計が1になるようにスケールが調整されます。スケールを調整した重要度の値を、w1、w2、...、wkで表すとしましょう。この場合、全体の満足度関数は、次のように、個々の満足度関数の重み付きの幾何平均として定義されます。

全体の満足度関数、または、1つの満足度関数(応答が1つの場合)を最適化する処理は、次のとおりです。
• カテゴリカルな因子の場合は、座標交換アルゴリズムを使用します。
• 連続尺度の因子の場合は、最急降下法を使用します。
• 制約や配合因子がある場合は、Wolfeの縮小勾配法を使用します。