寄与率を計算する際、JMPでは負の寄与度をゼロにしています。
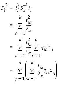
p個の変数とk個の成分をもつPCAモデルまたはPLSモデルのT2寄与度は、次のように計算されます。

ここで
ti = i番目の観測における、k個のスコアからなるベクトル
Sk = 履歴データでのk個のスコアから計算された標本共分散行列(この行列は、対角行列です)主成分分析モデルの場合、
は、対角要素が固有値になっています。
saは、Skのa番目の成分です。
rjaは、PCAモデルの場合はa番目の固有ベクトル、また、PLSモデルの場合はRk行列のa番目の列におけるj番目の成分です。Rkは、スコア行列TkをX行列に関連づける行列であり、Tk=XRkとなっている行列です。
xij は、i番目の観測における、j番目の変数のデータ値です。
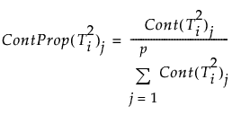
寄与度には、次のような関係があります。

そこで、変数jの寄与率は、次のように計算されます。

PCAモデルにおける寄与率の詳細については、Kourti and MacGregor (1996)を参照してください。PLSモデルにおける寄与率の詳細については、Li et al.(2009)を参照してください。
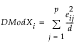
PCAモデルおよびPLSモデルにおいて、変数 jのXモデルまでの距離iに対する寄与度は、次のように計算されます。

ただし、

変数jの寄与率は、次のように計算されます。

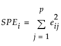
PCAモデルおよびPLSモデルにおいて、変数 jのSPEiに対する寄与度は、次のように計算されます。

ただし、

変数jの寄与率は、次のように計算されます。

スコア寄与度の計算は、次の点を除いては、T2に対する寄与度の場合と同じです。
• PCAモデルの場合は、Qk行列からの、スコアの次元に対応する列のみが使用されます。
• PLSモデルの場合は、Rk行列からの、スコアの次元に対応する列のみが使用されます。