「計画の診断統計量」アウトラインには、D効率・G効率・A効率、および平均予測分散が表示されます。これらの診断統計量は、変更が[困難]または[非常に困難]に設定されている因子、あるいは推定が[可能な場合のみ]に設定されている効果を含む計画については表示されません。
「計画の評価」プラットフォーム以外の「実験計画(DOE)」プラットフォームにおける「計画の診断統計量」アウトラインの「計画作成時間」は、計画の作成にかかった時間を示しています。一方、「計画の評価」プラットフォームにおける「計画の診断統計量」アウトラインの「計画作成時間」は、数値的な結果の計算にかかった時間を示しています。
図15.25は、「Design Experiment」フォルダにある「Bounce Data.jmp」データテーブルの「計画の診断統計量」アウトラインです。
図15.25 「計画の診断統計量」アウトライン
警告: 効率の指標は、それだけで解釈するのではなく、計画の比較に使用してください。2つの計画を比較したとき、効率の値が高い方が良い計画と言えます。どの基準も最大値を100としていますが、計画の効率は100を下回る場合がほとんどです。
効率の指標を求める計算式の説明において、次の記号を用います。
• Xは、モデル行列
• nは、計画の実験回数(標本サイズ)
• pは、切片を含めたモデル項の数
•
は、点
における相対的な予測分散。相対的な予測分散を参照してください。
•
は、計画領域全体における相対的な予測分散の最大値
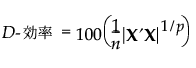
D-最適化基準。理想的な直交計画と比較したときの相対的なD-最適化基準です。D-最適計画は、切片を除く推定値に対する同時信頼領域の体積を最小にする計画です。

G-最適化基準。理想的な直交計画と比較したときの相対的なG-最適化基準です。G-最適計画は、計画領域全体における予測分散の最大値を最小にする計画です。

Dを計画領域としたとき、上式の分母は下式により計算されます。

注: 「G効率」は、計画領域のモンテカルロ標本を使って計算されます。そのため、同じ計画でも計算値が若干異なることがあります。
A-最適化基準。理想的な直交計画と比較したときの相対的なA-最適化基準です。A-最適計画は、切片を除くパラメータ推定値の分散の和を最小にする計画です。

ある計画領域の1点
における、相対的な予測分散は次のように定義されます。

相対的な予測分散は、予測分散を誤差分散で割った値です。計算について詳しくは、Goos and Jones(2011)の節4.3.5を参照してください。
計画作成時間は、「計画の評価」プラットフォームの各種結果の計算にかかった時間です。