データに欠測値がある場合、REML法(制限最尤法)は、最尤法に比べて、推定値のバイアスが小さいのが特徴です。REML法は、誤差対比(error contrast)から導出された周辺尤度を最大化する推定方法です。REML法は、分散および共分散を推定するのによく使われます。[多変量の相関]の[REML]は、反復測定データの相関構造に無構造(unstructured)を仮定した混合モデルのREML推定と同じです。混合モデルについては、SASシステムのPROC MIXEDに関するドキュメントを参照してください。
[横長]手法では、特に列数が多くなっているデータに対して、内部計算において共分散行列を求めずに、効率的に計算を行います。このアルゴリズムは、特異値分解に基づきます。次の表記を使用します。
• n = 行数(標本サイズ)
• p = 変数の個数
• X = データ値のn × p行列
0以外の固有値の個数は、求めることができる主成分の個数であり、Xの相関係数行列のランクと同じです。0以外の固有値の数は、nとpの小さい方を超えることはできません。
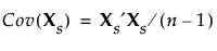
推定法として[横長]を選択した場合、データは常に標準化されます。データの標準化とは、データから平均を引き、それを標準偏差で割る変換を指します。標準化したデータを、Xs(n × p行列)と記します。標準化していないデータXの相関係数行列は、標準化したデータの共分散行列です。よって、次のように相関係数行列は求められます。

Xsは、特異値分解した行列によりUDiag(Λ)V′と表されます。この特異値分解により、固有ベクトルとXs′Xsの固有値が求められます。なお、主成分スコアはXsVによって求められます。詳細については、「線形 横長データ」の手法と特異値分解を参照してください。
疎なデータに対する手法[横長]手法と同様に、[疎]手法は特異値分解に基づきます。そのため、[疎]手法のアルゴリズムでは共分散行列は計算されず、効率的に計算が行われます。
横長なデータに対する手法で説明したXの同じ表記と標準化を使用すると、Xの相関係数行列はXsの共分散行列によって次のように表されます。

[疎]手法は、特異値分解の計算アルゴリズムにおいて[横長]手法とは異なります。[横長]手法では完全な特異値分解を行いますが、[疎]手法は、特異値分解において、特異値および特異ベクトルを指定された個数しか求めません。そのため、固有値と主成分に関しても指定された個数だけしか求めません。アルゴリズムの詳細については、Baglama and Reichel(2005)を参照してください。