注: カテゴリカル因子がある場合や、因子の制約がある場合には、高速柔軟充填計画しか使えません。
高速柔軟充填(FFF; Fast Flexible Filling)計画のアルゴリズムは、まず指定の計画領域内に多数のランダムな点を生成します。そして、これらの点に対して、線形制約や、許可しない因子の組み合わせといった制約を課します。次に、この多数の点を、高速Ward法によるクラスター分析によって、指定された実験回数を個数としたクラスターにまとめます。
最後に、デフォルトの[MaxPro](最大射影法; maximum projection)またはオプションの[重心]を最適化基準として、最終的な計画点を求めます。これらのオプションは、レポートの赤い三角ボタンのメニューにある[FFF最適化基準]サブメニューに含まれています。
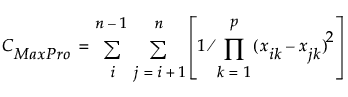
MaxPro
因子数をp、指定の実験回数をnとした場合、[MaxPro]は、次の基準を最小にする点を各クラスターから1つ取り出します。

MaxPro基準では、すべての因子を考慮して、点間の距離の積を最大にしようとします。この基準を最適化すると、因子の射影に関して、空間充填の良い性質をもつようになります。Joseph et al.(2015)を参照してください。[MaxPro]オプションはデフォルトで選択されています。
重心
この手法は、各クラスターの重心に計画点を置きます。計画空間内における任意の点から、最近隣の実験点までの平均距離が他の計画より小さくなる特性を持ちます。
注: 常に使用する最適化基準が決まっている場合は、環境設定で固定しておくことができます。それには、[ファイル]>[環境設定]>[プラットフォーム]>[実験計画(DOE)]を選択します。そして、[FFF最適化基準]を選択し、該当するオプションを選択します。
カテゴリカルな因子の場合は、以下のアルゴリズムに従います。
• このアルゴリズムの目的は、カテゴリカルな因子の水準から構成される各組み合わせに対して、計画点が均等に割り当てられることです。水準の組み合わせがm種類あり、各組み合わせにk個の計画点を均等に割り当てるとします。
• 連続変数に関して、その計画空間の領域内に、大量の点を乱数で生成します。そして、それらの点を、まず、k個のクラスターに分けます(ここでは、このクラスターを「第1クラスター」と呼びます)。
• k個の第1クラスターのそれぞれを、さらにm個のクラスターに分割します(ここでは、これらのさらに分割されたクラスターを「第2クラスター」と呼びます)。
• それぞれの第1クラスター内で、m個の第2クラスターから、FFF最適化基準を使って計画点を選び出します。
• そして、k個ある第1クラスターそれぞれにおいて、m水準の組み合わせのうちの1つずつを、m個の第2クラスターの計画点のいずれかにランダムに割り当てます。これにより、全部でkm個の計画点となります。
• k個の第1クラスターのそれぞれにおいて、MaxPro基準に従って水準のm個の組み合わせごとに計画点が選択されます。その際、カテゴリカル因子の同一水準にある点にMaxProカテゴリの重みが掛けられます。(MaxProカテゴリの重みについては、Space Filling計画のオプションを参照してください。)この手順が、k個の第1クラスターのすべてで10回、または特定の計画点を変更しても改善が見られなくなるまで、続行されます。