[モデルのあてはめ]オプションは、強度関数(intensity function)や累計関数(cumulative function)に関するモデルをあてはめます。強度関数や累計関数をモデル化するのに、4つのモデルが用意されています。パラメータが一定であるモデルだけでなく、パラメータが説明変数の関数であるモデルもあてはめることができます。
「再生モデルによる分析」の赤い三角ボタンをクリックし、[モデルのあてはめ]を選択すると、「再生性モデルの指定」ウィンドウ(図6.6)が表示されます。
図6.6 「再生性モデルの指定」ウィンドウ
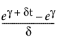
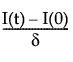
強度関数 I(t) や累計関数 C(t) に対するモデルとして、次の4つのモデルが用意されています。
I(t) =
C(t) =
I(t) =
C(t) =
I(t) =
C(t) =
=
I(t) =
C(t) =
上式において、tは、ユニットや製品などの年齢です。
表6.1では、これらの式におけるパラメータを説明しています。各モデルにおいて、それぞれのパラメータは尺度と形状を定義しています。
モデル | 尺度パラメータ | 形状パラメータ |
|---|---|---|
べき乗非同次Poisson過程 | θ | β |
比例強度Poisson過程 | γ | δ |
対数線形非同次Poisson過程 | γ | δ |
同次Poisson過程 | γ | なし |
次の点に注意してください。
• 「再生性モデルの指定」ウィンドウ(図6.6)で「尺度効果」や「形状効果」を指定した場合、表6.1で示した尺度と形状のパラメータが、それらの指定された効果(説明変数)の関数として、モデル化されます。尺度や形状のパラメータが一定であるモデルをあてはめたい場合は、「尺度効果」と「形状効果」に何も指定しないでください。
• 同次Poisson過程は、他のモデルの特殊な場合になっています。べき乗非同次Poisson過程と比例強度Poisson過程は、説明変数がない場合には、等価なモデルです。説明変数を含む複雑なモデルでは、比例強度モデルの方が、べき乗非同次Poisson過程よりも、反復計算での問題が生じにくいと考えられます。
[モデルの実行]をクリックすると、モデルがあてはめられ、レポートが表示されます。
図6.7 モデルのレポート
「再生性モデルのあてはめ」の赤い三角ボタンのメニューには、以下のオプションがあります。
プロファイル
強度関数と累計関数を表示した「予測プロファイル」の表示/非表示を切り替えます。
全水準の推定値
他の効果を中立的な値に固定したときの、カテゴリカルな効果の各水準に対するパラメータ推定値を求めます。カテゴリカルな効果における水準間の違いを見るのに役立ちます。このオプションは、カテゴリカルな効果を指定した場合のみ表示されます。
同次性の検定
同次性を検定します。このオプションは、[同次Poisson過程]モデルを選択した場合は表示されません。
効果の尤度比検定
モデルの各効果に対して尤度比検定を実行します。このオプションは、モデルに効果が指定されている場合にのみ表示されます。
強度と累計の指定
指定された時間と効果の値に対する、強度と累計の推定値を求めます。プロファイル尤度法による信頼区間も算出されます。
累計に対する時間の推定
指定されたイベントの累計数と効果の値に対する、時間の推定値を求めます。
強度計算式の保存
強度の計算式をデータテーブルに保存します。
累計計算式の保存
累計の計算式をデータテーブルに保存します。
強度計算式の発行
強度の計算式を作成し、「計算式デポ」レポートに計算式の列を作成するスクリプトを保存します。「計算式デポ」レポートが開いていない場合は、このオプションによって「計算式デポ」レポートが新規に作成されます。『予測モデルおよび発展的なモデル』の計算式デポを参照してください。
累計計算式の発行
累積の計算式を作成し、「計算式デポ」レポートに計算式の列を作成するスクリプトを保存します。「計算式デポ」レポートが開いていない場合は、このオプションによって「計算式デポ」レポートが新規に作成されます。『予測モデルおよび発展的なモデル』の計算式デポを参照してください。
モデルに基づくシミュレーション
推定された再生性モデルから、乱数のデータを生成します。このオプションは、「モデルに基づくシミュレーション」ウィンドウで指定されたオプションに基づいて生成された乱数を含む新しいデータテーブルを作成します。モデルに基づくシミュレーションを参照してください。
あてはめの削除
あてはめたモデルのレポートを削除します。
「再生性モデルのあてはめ」の赤い三角ボタンのメニューから[モデルに基づくシミュレーション]オプションを選択すると、「モデルに基づくシミュレーション」ウィンドウが表示されます。このウィンドウでは、シミュレーションに対する以下のようなオプションを指定できます。
イベントの最大発生回数
システムIDの各水準でシミュレートするイベントの最大発生数を指定します。
最大経過時間
シミュレートするイベントの最大経過時間を指定します。
ユニット数
システムIDの各水準でシミュレートするユニット数を指定します。
注: モデルに「切片」および「定数」以外の項が含まれている場合、シミュレートされたデータテーブルには、説明変数の水準のすべての組み合わせにおいて、このユニット数が含まれます。なお、説明変数が連続尺度の場合、5水準に分けられます。
[OK]をクリックすると、結果を含む新しいデータテーブルが作成されます。このデータテーブルには「再生モデルによる分析」プラットフォームでシミュレートされた観測値を分析するためのスクリプトが含まれています。