「関数の要約」レポートには、平均差、積分2乗誤差平方根(RISE)、積分2乗関数平方根(RIFS)といった要約統計量が含まれます。この項では、これらの要約統計量を定義します。この項のすべての式において、入力値は0~1の間に揃えられていると仮定しています。以下の表記は、すべての関数で使用されています。
は、入力値xにおける曲線iの推定関数です。
は、入力値xにおける推定平均値関数です。
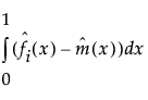
「平均差」は、IDごとの曲線と、全体的な平均曲線との差を、平均したものです。これは、平均的に見て、IDごとの曲線が平均曲線の下にくるか上にくるかを判断するのに使用できます。曲線iの平均差は以下のように定義されます。
IDi = 
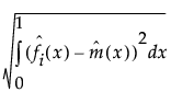
積分2乗誤差平方根(RISE)は、IDごとの曲線と全体的な平均曲線との間の平均距離です。これは、どのIDの曲線が全体的な平均曲線に最も類似しているか、または最も異なるかを判断するのに使用できます。曲線iの積分2乗誤差平方根(RISE)要約値は以下のように定義されます。
RISEi = 
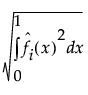
積分2乗関数平方根(RIFS)は、最適な曲線のシナリオを分析するための要約値です。ある最適な曲線を事前に差し引いた場合は、積分2乗関数平方根(RIFS)の最も小さな値を使用して、どの関数がその最適な曲線に最も近いかを判断できます。曲線iの積分2乗関数平方根(RIFS)要約値は以下のように定義されます。
RIFSi = 