効果のてこ比プロットは、偏回帰残差てこ比プロット(Belsley et al. 1980)または追加変数プロット(Cook and Weisberg 1982)とも呼ばれています。Sall(1990)は、これらのプロットを一般化し、あらゆる線形仮説に適用できるようにしました。
JMPには、次のようなてこ比プロットが用意されています。
• 各効果のてこ比プロット。このてこ比プロットは、すべての効果を含めたモデルと該当する効果だけを除いたモデルとを比較する検定への各行の影響を表しています。
• モデル全体のてこ比プロット。このてこ比プロットは、「予測値と実測値のプロット」で、モデル全体に対する検定への各行の影響を表しています。
各効果のてこ比プロットを描くにあたっては、該当する1つの効果だけが0であると制約されます。一方、モデル全体のてこ比プロットである「予測値と実測値のプロット」では、すべての効果が0であると制約されます。Sall(1990)では、任意の線形仮説に対してもてこ比プロットが描けるように、一般化しています。以下では、Sall(1990)を要約して説明します。
次のような(推定可能な)仮説に興味があるとします。

てこ比プロットでは、各点から回帰直線までの距離が、制約のないモデルの残差になっています。また、各点から水平線までの距離が、仮説によって制約されたモデルの残差になっています。なお、これら2つのモデルの残差平方和の差は、仮説を検定するF 検定で使われます。
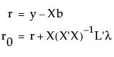
仮説によって制約されたパラメータ推定値は、次のように書き表されます。

bは、次の式で表される最小2乗推定値です。

λは、仮説による制約のラグランジュ乗数のベクトルで、次のように計算します。

制約のない残差と、仮説によって制約された残差は、以下のような式で計算できます。

てこ比プロットの各点の水平軸の座標をvx、垂直軸の座標をvyとします。これらは、以下のように定義されます。
• vxは、制約のあるモデルの残差から、制約のないモデルの残差を引いた値、つまりr0 - rです。これは、制約を課すことによって説明されなくなる情報を反映しています。
• vyは、制約がないモデルの残差を、水平軸の座標の値に足したものです。
数式で書くと、以下のようになります。
および 
これらの点がてこ比プロットを描くのに使われます。上記で説明した構成を図に描くと、図3.68のようになります。図で、応答平均は0、回帰直線の傾きは1です。
JMPのてこ比プロットには、応答の平均(
)を示す横の点線が描かれます。プロット上の点は、(vx +
, vy)と表されます。
図3.68 てこ比プロットの構成
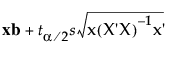
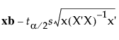
1つの説明変数による単回帰では、応答の期待値に対する信頼区間は、次式のように説明変数の関数になっています。
Upper (x) = 
Lower (x) = 
上式において、x = [1 x]は、切片を表す1と、説明変数の値を要素にもつ行ベクトルです。
この信頼区間には、対応する仮説検定の有意性と次のような関係があります(図3.57)。
• 有意である場合:傾きのパラメータがゼロと有意に異なるときは、信頼区間の曲線が応答の平均を表す水平線と交わります。
• 境目の場合:傾きのパラメータに対するt検定がちょうど有意か有意でないかの境目に位置するときは、応答の平均を表す水平線に、信頼区間の曲線が漸近しています。
• 有意でない場合:傾きのパラメータがゼロと有意には異ならないときは、信頼区間の曲線が応答の平均を表す水平な線と交わりません。
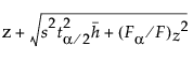
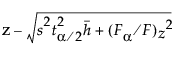
てこ比プロットは、単回帰の信頼区間と同じ性質をもつ曲線を描画します。これらの曲線は、プロットの中央に描かれるように調整されます。てこ比プロットの水平軸の座標をzとすると、以下のように定義されます。
Upper(z) = 
および
Lower(z) = 
ここで、Fは仮説検定のF値です。Fαは有意水準aに対応したF分布の分位点です。
また、
で、
は説明変数の適切な中間値(平均など)から構成された行ベクトルです。
こうして定義された曲線は、単回帰の信頼区間と同じように次の性質をもちます。
• F検定が有意なときは、曲線は水平軸と交わります。
• F検定がちょうど有意と有意でない境目にあるときは、曲線は水平軸に漸近しています。
• F検定が有意でないときは、曲線は交わりません。
なお、Upper(z) ‐ Lower(z)は、zに対応した説明変数における予測値の信頼区間の幅になっています。