All(A, ...)
戻り値
すべての行列のすべての要素が0以外のときは1、そうでなければ0
Any(A, ...)
戻り値
1つまたは複数の行列のある1要素が0以外のときは1、そうでなければ0
B Spline Coef(x, Internal Knot Grid, <degree=3>, <Knot End Points=min(x)||max(x)>)
説明
x引数に指定したデータのB-スプライン係数の行列を戻す。
戻り値
B-スプライン曲線の基底の係数の行列。線形モデルの計画行列として使用できます。行列の最初の列に切片項が含まれます。
引数
x
データを含む行ベクトルまたは列ベクトル。
Internal Knot Grid
xのパーセント点に基づく、必要な節点の数か、または内部節点を指定するベクトル。内部節点の数は、1以上で、x内にある一意の要素の数から2を引いた値以下でなければなりません。
degree
B-スプライン曲線の次数を示す数値。デフォルトの値は3です。
Knot End Points
節点の下側と上側の位置から成る2x1行列。この引数を指定しなかった場合、デフォルトの下側と上側の接点はxの最小値と最大値になります。
メモ
この関数は、「関数データエクスプローラ」プラットフォームで作成される数式に使用されます。
CDF(Y)
説明
ベクトルまたはリストで指定されたYに対し、経験累積分布関数の値を戻す。経験累積分布関数は、QuantVecの値以下となっているデータの割合を表します。
構文
{QuantVec, CumProbVec} = CDF(YVec)
Chol Update(L, V, C)
説明
n×n行列Aのコレスキー根をLとした場合、cholUpdateを呼び出すと、A+V*C*V'(Cはm×mの対称行列、Vはn×m行列)のコレスキー根で置き換わる。
Cholesky(A)
説明
半正値定符号行列の下コレスキー根(L)を戻す。Lは、L*L' = Aとなるような下三角行列。
戻り値
L(コレスキー根)
引数
A
対称行列。
Correlation(matrix, < <<"Pairwise">, < <<"Shrink">, < <<Freq(vector)>, < <<Weight(vector)>)
説明
行列引数matrixの相関係数行列を計算する。
戻り値
指定された行列の相関係数行列
引数
matrix
データを示す行列。データがm行n列で構成されている場合、結果はm × mの行列です。
"Pairwise"
欠測値に対してリストワイズ法ではなくペアワイズ法を使用する。
"Shrink"
Schafer-Strimmerの縮小推定を実行する。
<<Freq(vector)
行列の行の度数を指定するベクトル。
<<Weight(vector)
行列の行の重みを指定するベクトル。
ノート
デフォルトでは、欠測値が1つでもある行は、行ごと除外されます。"Pairwise"オプションを指定した場合は、欠測値以外のすべてのペアを相関行列の計算に使用します。
この関数は、可能ならマルチスレッドを使用します。そのため、行数が多い大きなデータに適しています。
列が定数の場合、その相関係数は0で、対角要素も0です。
Covariance(matrix, < <<"Pairwise">, < <<"Shrink">, < <<Freq(vector)>, < <<Weight(vector)>)
説明
行列引数matrixの共分散行列を計算する。
戻り値
指定された行列の共分散行列
引数
matrix
データを示す行列。データがm行n列で構成されている場合、結果はm × nの行列です。
"Pairwise"
欠測値に対してリストワイズ法ではなくペアワイズ法を使用する。
"Shrink"
Schafer-Strimmerの縮小推定を実行する。
<<Freq(vector)
行列の行の度数を指定するベクトル。
<<Weight(vector)
行列の行の重みを指定するベクトル。
ノート
デフォルトでは、欠測値が1つでもある行は、行ごと除外されます。"Pairwise"オプションを指定した場合は、欠測値以外の全ペアを共分散行列の計算に使用します。
この関数は、可能ならマルチスレッドを使用します。そのため、行数が多い大きなデータに適しています。
Design(vector, < levelsList | <<levels, <<ElseMissing >)
説明
ベクトル(vector)の一意の値ごとに、1と0の列でできた計画行列を作成する。
戻り値
引数の一意の値ごとに1と0の列を持つ計画行列、または計画行列と水準のリストを含むリスト
引数
vector
ベクトル。
levelsList
(オプション)戻される行列の水準を指定するリストまたは行列。
<<levels
(オプション)これを指定すると、戻り値が計画行列と水準を含むリストになる。
<<ElseMissing
(オプション)引数vectorに、引数levelsListに含まれない値があった場合、その値の処理を指定する。この引数を指定すると、計画行列に欠測値が挿入されます。指定しない場合は、計画行列に0が挿入されます。
ノート
levelsList引数内の欠測値は無視されません。
例:
Show( Design ( ., [. 0 1] ),
Design( 0, [. 0 1] ),
Design( 1, [. 0 1] ),
Design( [0 0 1 . 1], [. 0 1] ),
Design( {0, 0, 1, ., 1}, [. 0 1] ) );
Design(., [. 0 1]) = [1 0 0];
Design(0, [. 0 1]) = [0 1 0];
Design(1, [. 0 1]) = [0 0 1];
Design([0 0 1 . 1], [. 0 1]) =
[ 0 1 0,
0 1 0,
0 0 1,
1 0 0,
0 0 1];
Design({0, 0, 1, ., 1}, [. 0 1]) =
[ 0 1 0,
0 1 0,
0 0 1,
1 0 0,
0 0 1];
Design Last(vector, < levelsList, <<ElseMissing >)
説明
引数の一意の値ごとに、1と0の列を持つ計画行列を作成する。ただし、最後の水準は、0だけの行とします。
戻り値
フルランクの計画行列、または計画行列と水準のリスト
引数
vector
ベクトル。
levelsList
(オプション)戻される行列の水準を指定するリストまたは行列。この引数を指定すると、このリストまたは行列の最後の水準が、計画行列の最後の水準として扱われます。指定しない場合は、引数vectorの最大値が、最後の水準に設定されます。
<<ElseMissing
(オプション)引数vectorに、引数levelsListに含まれない値があった場合、その値の処理を指定する。この引数を指定すると、計画行列に欠測値が挿入されます。指定しない場合は、計画行列に0が挿入されます。
Design Nom(vector, < levelsList | <<levels, <<ElseMissing >)
DesignF(vector, < levelsList | <<levels, <<ElseMissing >)
説明
引数の一意の値ごとに、1と0の列を持つ計画行列を作成する。ただし、最後の水準は、-1の行としてコード化されます。
戻り値
フルランクの計画行列、または計画行列と水準を含むリスト
引数
vector
ベクトル。
levelsList
(オプション)戻される行列の水準を指定するリストまたは行列。この引数を指定すると、このリストまたは行列の最後の水準が、計画行列の最後の水準として扱われます。指定しない場合は、引数vectorの最大値が、最後の水準に設定されます。
<<levels
(オプション)これを指定すると、戻り値が計画行列と水準を含むリストになる。
<<ElseMissing
(オプション)引数vectorに、引数levelsListに含まれない値があった場合、その値の処理を指定する。この引数を指定すると、計画行列に欠測値が挿入されます。指定しない場合は、計画行列に0が挿入されます。
ノート
levelsList引数内の欠測値は無視されません。
例:
Show( Design Nom( ., [. 0 1] ),
Design Nom( 0, [. 0 1] ),
Design Nom( 1, [. 0 1] ),
Design Nom( [0 0 1 . 1], [. 0 1] ),
Design Nom( {0, 0, 1, ., 1}, [. 0 1] ) );
Design Nom(., [. 0 1]) = [1 0];
Design Nom(0, [. 0 1]) = [0 1];
Design Nom(1, [. 0 1]) = [-1 -1];
Design Nom([0 0 1 . 1], [. 0 1]) = [0 1, 0 1, -1 -1, 1 0, -1 -1];
Design Nom({0, 0, 1, ., 1}, [. 0 1]) = [0 1, 0 1, -1 -1, 1 0, -1 -1];
Design Ord(vector, < levelsList | <<levels, <<ElseMissing >)
説明
引数の一意の値ごとに列を持つ計画行列を作成する。最初の水準は、0の行としてコード化されます。引数levelsListのそれ以降のn番目の水準は、(n-1)個の1およびそれ以外が0の行としてコード化されます。
戻り値
フルランクの計画行列、または計画行列と水準を含むリスト
引数
vector
ベクトル。
levelsList
(オプション)戻される行列の水準を指定するリストまたは行列。
<<levels
(オプション)これを指定すると、戻り値が計画行列と水準を含むリストになる。
<<ElseMissing
(オプション)引数vectorに、引数levelsListに含まれない値があった場合、その値の処理を指定する。この引数を指定すると、計画行列に欠測値が挿入されます。指定しない場合は、計画行列に0が挿入されます。
ノート
levelsList引数内の欠測値は無視されません。
例:
Show( Design Ord( ., [. 0 1] ),
Design Ord( 0, [. 0 1] ),
Design Ord( 1, [. 0 1] ),
Design Ord( [0 0 1 . 1], [. 0 1] ),
Design Ord( {0, 0, 1, ., 1}, [. 0 1] ) );
Design Ord(., [. 0 1]) = [0 0];
Design Ord(0, [. 0 1]) = [1 0];
Design Ord(1, [. 0 1]) = [1 1];
Design Ord([0 0 1 . 1], [. 0 1]) = [1 0, 1 0, 1 1, 0 0, 1 1];
Design Ord({0, 0, 1, ., 1}, [. 0 1]) = [1 0, 1 0, 1 1, 0 0, 1 1];
Det(A)
説明
正方行列の行列式。
戻り値
行列式
引数
A
正方行列。
Diag(A, <B>)
説明
正方行列やベクトルから対角行列を作成する。2つ以上の行列が指定された場合、それらの行列を対角線上に連結したブロック対角行列を戻します。
戻り値
行列
引数
A
行列またはベクトル。
Direct Product(A, B)
説明
行列の直積(Kronecker積)を戻す。
戻り値
nの階乗
引数
A, B
行列。
Distance(x1, x2, <scales>, <powers>)
説明
x1の行とx2の行との間の距離の行列を生成する。
戻り値
行列
引数
x1, x2
2つの行列。
scales
(オプション)行列の尺度を設定する引数。
powers
(オプション)行列のべき乗を設定する引数。
E Div(A, B)
A:/B
説明
2つの行列の要素ごとの割り算。
戻り値
結果の行列
引数
A, B
2つの行列。
E Mult(A, B)
A:*B
説明
2つの行列の要素ごとの掛け算。
戻り値
結果の行列
引数
A, B
2つの行列。
Eigen(A)
説明
固有値分解。
戻り値
対称行列Aに対して、A`=E * Diag(M) * EとなるようなMとEが、リスト{M, E}の形式で戻される。
引数
A
対称行列。
Estimate Factor Score(dataRow, Covariance, ManMeans, LatMeans)
説明
構造方程式モデル(SEM)から因子スコアを推定する。この関数は、「構造方程式モデル」レポートの[因子スコアの保存]オプションで使用されます。『多変量分析』のモデルに関するオプションを参照してください。
戻り値
構造方程式モデルに基づいて推定した因子スコアの行ベクトル。
引数
dataRow
データ値の行ベクトル。
Covariance
モデルから求めた分散共分散行列。
ManMeans
モデルから求めた顕在変数の平均のベクトル。
LatMeans
モデルから求めた潜在変数の平均のベクトル。
Fourier Basis Coef(x, Number Pairs, <Period=max(x)-min(x)+1>)
説明
x引数に指定したデータのFourier基底係数の行列を戻す。
戻り値
Fourier基底係数の行列。線形モデルの計画行列として使用できます。行列の最初の列に切片項が含まれます。残りの列には、基底係数のペアが含まれ、ペアi は、i * (2 * p / Period) * xのsin()およびcos()として定義されます。
引数
x
データを含む行ベクトルまたは列ベクトル。
Number Pairs
Fourier基底のsin()とcos()のペア。
Period
Fourier基底を構成する三角関数の周期。
メモ
この関数は、「関数データエクスプローラ」プラットフォームで作成される数式に使用されます。
G Inverse(A)
説明
Moore-Penrose型の一般逆行列。
H Direct Product(A, B)
説明
行数が等しい行列の横の直積。
Hough Line Transform(matrix, <NAngle(number)>, <NRadius(number)>)
説明
彩度の行列をとり、それを行列内の線を見つけやすいように変換する。角度を列、半径を行としたHough Line Transformを含む行列を作成します。
引数
matrix
イメージの彩度から得られた行列の場合もあるが、平坦化の装置によって筋状に問題が発生している可能性のある半導体ウエハーから得られたものである場合が多い。
NAngle(number)
異なるサイズで変換するための角度を入力する。デフォルト値は180度です。
NRadius(number)
異なるサイズで変換するための半径を入力する。デフォルトはsqrt(NRow*nRow+nCol*nCol)です。
Identity(n)
説明
n × nの単位行列を作成する。単位行列は、対角要素が1で、非対角要素が0である行列です。
戻り値
行列
引数
n
整数
Index(i, j, <increment>)
i::j
説明
iからjまでの整数を含む行ベクトルを作成する。
戻り値
行列
引数
i, j
範囲を定義する整数。iは範囲の始点、jは終点。
increment
(オプション)これを指定することにより、増分をデフォルト値の+1から変更できる。
Inv()
Inverse(A)を参照してください。
Inv Update(A, x, 1|-1)
説明
A=Inv(X`X)がすでに計算されている場合、行列Xに行ベクトルxを追加/削除した後の、Inv(X`X)を効率的に計算する。
引数
A
更新する行列。
X
行列Aに対して追加/削除する1つまたは複数の行。
1|-1
第3引数は、第2引数xで指定された行を行列Aには行を削除します。1は行を追加し、-1は行を削除します。
Inverse(A)
Inv(A)
説明
逆行列を戻す。行列は正則な正方行列でなければなりません。
Is Matrix(x)
説明
評価後の引数が行列のときは1、そうでなければ0を戻す。
J(nrows, <ncols>, <value>)
説明
すべての要素が同じ値(value)の行列を作成する。
戻り値
行列
引数
nrows
行列の行数。列数(ncols)が指定されていない場合、列数は行数と同じ数に設定されます。
ncols
行列の列数。
value
行列を埋める値。valueが指定されていない場合、1が使用されます。
KDTable(matrix)
説明
近傍点を効率よく検索するためのテーブルを戻す。
戻り値
K次元テーブルオブジェクト
引数
matrix
K次元上における点の座標を表す行列。次元数または点数に制限はありません。行列の各列はデータの次元、各行はデータ点を表しています。
メッセージ
<<Distance between rows(row1, row2)
K次元テーブル内の指定された2つの行の間の距離を戻す。この距離は、削除された行および挿入された行に対しても適用されます。
<<K nearest rows(stop, <position>)
n個の近傍点と、それまでの距離を含む行列を、結果として戻す。引数positionには、n個の近傍点を求めたい点を、座標の行ベクトル、もしくは、行番号の整数で指定します。positionが指定されていない場合は、すべての行に関する結果を戻します。positionが指定されている場合は、指定された点に対する結果を戻します。引数stopには、nまたは{n, limit}を指定してください。limitパラメータは、結果の行数を制限します。数値またはリストで指定できます。数値(たとえば5)を指定した場合、5つの近傍の行が戻されます。リスト(たとえば{5,10})を指定した場合、距離が10を超えるまで、最大5つの近傍の行が戻されます。後者の場合、最後の行の距離は10を超える可能性があります。停止すべき半径を超えた次の行が見つかるまでコマンドが続行されるため、この最後の点も戻されます。これは、特に半径内に行がない場合に役立ちます。
<<Remove rows(number | vector)
numberで指定された行、または、vectorで指定された行を、削除する。削除された行の行数を戻します。すでに削除されている行は無視されます。
<<Insert rows(number | vector)
numberで指定された行、または、vectorで指定された行を、再度挿入する。挿入された行の行数を戻します。すでに挿入されている行は無視されます。
ノート
行が削除または挿入されても、行のインデックスは変更されません。削除または再挿入できるのは、既存の次元データテーブルオブジェクトに含まれている行だけです。新しい行を含める必要がある場合は、別の次元データテーブルを新たに作成してください。
Least Squares Solve(y, X, < <<noIntercept, <<weights(OptionalWeightVector), <<method("Sweep"|"GInv")>)
説明
仮定したモデル「y = X * beta + error」の推定値を最小2乗法で計算する。
戻り値
行列Beta=Inverse(X'X')X'yおよびBetaの分散共分散行列の推定値を含むリスト。
オプションの名前付き引数
<<noIntercept
切片のないモデルを指定する。
<<weights(optional weight vector)
重み(ベクトル)を指定して、重み付き最小2乗法を実行する。
<<method("Sweep" | "GInv")
どの手法で正規方程式を解くかを指定する。Sweep法(デフォルト)の方が計算効率は高いですが、一般化逆行列("GInv")の方が数値的に安定します。
Linear Regression(y, X, < <<noIntercept, <<printToLog, <<weight(OptionalWeightVector), <<freq(OptionalFreqVector)>)
説明
仮定したモデル「y = X * beta + error」に線形回帰をあてはめる。
戻り値
推定値のベクトル、標準誤差のベクトル、および診断統計量のリストを含むリスト。診断統計量のリストには、推定値のt値とp値のベクトル、そして回帰のあてはめのR2乗と自由度調整R2乗の値が含まれます。
オプションの名前付き引数
<<noIntercept
切片のないモデルをあてはめる。
<<printToLog
あてはめの要約をログに出力する。
<<weight(vector)
重み(ベクトル)を指定して、重み付き最小2乗法を実行する。
<<freq(vector)
yとXの各行に対する、度数のベクトルを指定する。
例
n = 10;
x = J( n, 1, Random Normal() );
y = 1 + x * 3 + J( n, 1, Random Normal() );
{Estimates, Std_Error, Diagnostics} = Linear Regression( y, x, <<printToLog );
As Table( y || x );
Bivariate( Y( :Col1 ), X( :Col2 ), Fit Line( 1 ) );
Loc(A)
Loc(A, item)
説明
行列Aの要素のうち、0でも欠測値でもない要素の位置を示す、添え字の行列を戻す。引数が2つ指定された場合は、Aのうち要素itemが見つかった位置の行列を戻します。最初の引数がリストの場合は、2つ目の引数が必須になります。
引数
A
行列またはリスト。
item
行列またはリストAの中にある要素。
Loc Max(A)
説明
行列の要素のうち、最大値である要素の位置を戻す。
戻り値
最小値の位置を示す整数
引数
A
行列。
Loc Min(A)
説明
行列の要素のうち、最小値である要素の位置を戻す。
戻り値
最小値の位置を示す整数
引数
A
行列。
Loc NonMissing(matrix, ..., {list}, ...)
説明
指定された行列またはリスト内で、欠測値がない行の番号を戻す。引数がリストの場合、空でない文字列の番号も戻すことができます。
戻り値
新しい行列またはリスト
Loc Sorted(A, B)
説明
二分探索を通じてAのの値がB以下である位置を探し、その位置の添え字の列ベクトルを作成する。Aは、昇順で並べられた欠測値のない行列でなければなりません。
戻り値
Bと同じ次元を持つ新しい行列。Bにある値がAの最初の値より小さい場合、その値の位置として戻される添え字の値は1です。
引数
A, B
行列。
Matrix({{x11, ..., x1m}, {x21, ..., 2m}, {...}, {xn1, ..., xnm}})
Matrix({x1, ..., xn})
Matrix(n, m)
説明
n × m行列を作成する。次のような指定方法があります。
– それぞれがm個の行の値を含んでいるn個のリストを指定した場合、行列は、評価されるリストを縦に連結して作成されます。リスト項目は数値または行ベクトルになり、項目の次元は整合していなければなりません。
– n個の項目を持つ1つのリストを指定した場合、戻り値は、n x 1の列ベクトルです。評価されるリストの項目は、数値にならなければなりません。
– 2つの整数引数を指定した場合、戻り値は、n行、m列から成るゼロの行列です。
例
Matrix({{1, 2, 3}, {4, [5 6]}, {7, 8, 9}});
[1 2 3, 4 5 6, 7 8 9]
Matrix({{[1 2 3], 4, 5, 6, 7, 8, 9}});
[1 2 3 4 5 6 7 8 9]
Matrix({2,3+7});
[2, 10]
Matrix(2,3);
[0 0 0, 0 0 0]
Matrix Mult(A, B)
C=A*B, ...
説明
行列の掛け算。
引数
A, B, ...
行数と列数が整合している2つ以上の行列(すべての乗算において、掛けられる行列の列数が掛ける行列の行数と一致している必要がある)。
ノート
Matrix Mult()で指定できる引数は2つだけですが、*演算子を使用すれば3つ以上の行列を掛けることができます。
Matrix Rank(A)
説明
行列Aの順位を戻す。
Mode({list } or matrix)
説明
数値または文字のリスト、あるいは数値行列から、最も頻繁に出現する項目を選択する。頻度の同じものがある場合は、最も小さい値が選択されます。複数の引数を指定する場合は、数値と文字列を組み合わせることもできます。
引数
リストまたは行列を指定する。
Multivariate Normal Impute(yVec, meanYvec, symCovMat, colMin, colMax)
説明
応答ベクトルyVecにおける欠測値を平均と共分散に基づいて補完する。
引数
yVec
いくつかの要素が欠測値となっているベクトル。
meanYvec
平均のベクトル。
symCovMat
共分散行列(対称行列)。共分散行列を指定しなかった場合は、平均で補完されます。
colMin
列の最小値のベクトル。補完の下限を指定します。
colMax
列の最大値のベクトル。補完の上限を指定します。
NChooseK Matrix(n, k)
説明
n個からk個を選んだ場合のすべての組み合わせを含む行列を戻す。
N Col(x)
N Cols(x)
説明
指定されたデータテーブルまたは行列の列数を戻す。
引数
x
データテーブルまたは行列。
Ortho(A, <Centered(0)>, <Scaled(1)>)
説明
行列Aの列をGram-Schmidt法で直交正規化する。Centered(0)を指定すると、直交化後の列の和がゼロに中心化されない。Scaled(1)を指定すると、長さが1に尺度化されない。
Ortho Poly(vector, order)
説明
説明変数の間隔を表すベクトル(vector)に対し、指定の次数(order)までの直交多項式を戻す。
P Spline Coef(x, Internal Knot Grid, <degree=3>)
説明
x引数に指定したデータの罰則付き基底スプライン(P-スプライン)係数の行列を戻す。この関数は、「関数データエクスプローラ」プラットフォームで作成される数式に使用されます。
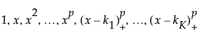
戻り値
P-スプライン基底係数の行列。これは、指定したdegree(次数)の切断冪級数の基底です。節点k1からkKまでの次数pの切断冪級数の基底は、次のように定義されます。

ここで、(x - k1)+は(x - k1)の正成分で、(x - k1)の負の値に対してゼロに設定されます。
引数
x
データを含む行ベクトルまたは列ベクトル。
Internal Knot Grid
xのパーセント点に基づく、必要な節点の数か、または内部節点を指定するベクトル。
degree
P-スプライン曲線の次数を示す数値。デフォルトの値は3です。
メモ
この関数は、「関数データエクスプローラ」プラットフォームで作成される数式に使用されます。
Parallel Assign({thread_local_var = global_var, ...}, matrix[a, b] = expression using a and b)
説明
複数のスレッドを使って行列に値を割り当てる。コンピュータのマルチコアが活用できます。関数には2つの引数があります。
– 最初の引数は、グローバル変数を各スレッドのローカル変数リストにコピーする割り当て関数のリストです。
– 2番目の引数は、割り当ての式で、左辺が1つまたは2つのプロトタイプインデックスを持つ行列、右辺がこれらのインデックスとリストのローカル変数(およびJMPのグローバル変数)を使った任意のJSL式です。
例
次の例は、グローバル名前空間への読み取りアクセスを可能にします。
a = 42;
x = [1 2 3, 4 5 6, 7 8 9];
Show( Parallel Assign( {}, x[i, j] = global:a ) );
Show( x );
Parallel Assign({}, x[i,j] = global:a) = 1;
x =
[ 42 42 42,
42 42 42,
42 42 42];
Print Matrix(M, <named arguments>)
説明
表示形式を整えた行列を含む文字列を戻す。たとえば、この関数を使用して、行列をログに出力できます。
引数
M
行列。
オプションの名前付き引数
<<ignore locale(Boolean)
偽(0)の場合は、ロケールの小数点記号が使われる。真(1)の場合は、常にピリオド(.)を小数点記号とする。デフォルト値は0(偽)です。
<<decimal digits(n)
表示する小数桁数を指定する整数。
<<style("style name")
Parseable、Latex、Otherのいずれかのスタイルを指定する。ParseableはJSLと同じ表示形式です。LatexはLaTex用の形式です。Otherを指定した場合、次の3つの引数を指定する必要があります。
<<separate("character")
要素の区切り記号を定義する。
<<line begin("character")
開始行の文字を定義する。
<<line end("character")
終了行の文字を定義する。
QR(A)
説明
AのQR分解を戻す。通常は、{Q, R} = QR(A)のように使います。
Rank Index(vector)
Rank(vector)
説明
引数のベクトルを昇順に並べ替えるためのインデックスを戻す。結果のベクトルを、元のベクトル(vector)の添え字として使用すれば昇順に並べ替えることができる。なお、欠測値は結果から除外されます。行列に加えて、数値または文字列のリストがサポートされています。
Ranking(vector)
説明
ベクトル(vector)の各要素の大きさの順位を、列ベクトルで戻す。1~nの順位が低位から高位に与えられますが、同じ値に対しては任意の順位が与えられます。行列に加えて、数値または文字列のリストがサポートされています。
Ranking Tie(vector)
説明
ベクトル(vector)の各要素の大きさの順位を、列ベクトルで戻す。ただし、同じ値に対しては、平均順位が与えられます。行列に加えて、数値または文字列のリストがサポートされています。
Scoring Impute(rowWithMissing, VMat, colMeanVec, colStdDevVec)
説明
自動データ補完(ADI)アルゴリズムのストリーミング機能を実現する。
戻り値
欠測値を標準最小2乗法で補完した行ベクトルを戻す。
引数
rowwithMissing
欠測値を含む行ベクトル。
VMat
ADIアルゴリズムで生成された負荷量行列。
colMeanVec
欠測セルを無視した列平均のベクトル。
colStdDevVec
欠測セルを無視した列標準偏差のベクトル。
Shape(A, nrow, <ncol>, < <<bycol>)
説明
行列Aの全行を指定の次元に再構成する。行列Aの各値が、再構成された行列に入れられます。デフォルトでは、値は行ごとに配置されます。
戻り値
再構成された行列
引数
A
行列。
nrow
新しい行列の行数を指定。
ncol
(オプション)新しい行列の列数を指定。
<<bycol
(オプション)値を、再構成された行列に行ごとではなく列ごとに配置する。
メモ
列数(ncol)が指定されていない場合は、元の行列の値をすべて挿入できるだけの列数が使用されます。
nrowに欠測値が指定されている場合、行数は、元の行列のすべての値を収めるのに必要な大きさに設定されます。
新しい行列が元の行列よりも小さい場合は、余った値が破棄されます。
新しい行列が元の行列よりも大きい場合は、新しい行列が完全に埋まるまで値が繰り返されます。
例
a = Matrix({ {1, 2, 3}, {4, 5, 6}, {7, 8, 9} });
[ 1 2 3,
4 5 6,
7 8 9]
Shape(a, 2);
[ 1 2 3 4 5,
6 7 8 9 1]
Shape(a, 2, 2);
[ 1 2,
3 4]
Shape(a, 4, 4);
[ 1 2 3 4,
5 6 7 8,
9 1 2 3,
4 5 6 7]
Shape(a, 4, 4, <<bycol);
[ 1 5 9 4,
2 6 1 5,
3 7 2 6,
4 8 3 7]
Solve(A, b)
説明
線形システムの解を戻す。この解は、x=inverse(A)*bによって得られる解と同じです。
Sort Ascending(source)
説明
リスト(source)の要素を昇順に並べたリストを戻す。
Sort Descending(source)
説明
リスト(source)の要素を降順に並べたリストを戻す。
Sparse SVD(X, <nSingularValues=min(nRow, nCol)>,<tolerance=1e-10>)
説明
暗黙的に再開された、部分的に再直交化された疎なLanczos法を使って行列Xの特異値分解を計算する。
戻り値
U*diag(M)*Vがxと等しくなるような(U, M, V)のリストを戻す。
Spline Coef(x, y, lambda)
説明
knots||a||b||c||d形式の5個の要素が含まれた列ベクトルを戻す。ここで、knotsは節点を表し、xの一意な値で構成されています。
xは説明変数のベクトル、yは応答変数のベクトル、lambdaは平滑化パラメータです。lambdaの値が大きくなるほどなめらかなスプライン曲線になります。
Spline Eval(x, coef)
説明
Spline Eval関数は、Spline Coef関数から戻される係数の行列(これは、3次スプラインの場合、knots||a||b||c||dという形式の行列です)から、スプライン曲線の予測値を計算します。説明変数を表す引数のxは、スカラーでも行列でもかまいません。引数のcoef行列には、2列以上の任意の列数を設定することができ、各列がそれぞれの次数の係数を表します。xの累乗を計算するときには、節点(knots)の値が引かれます。たとえば、引数coefがknots||a||b||c||dである場合、xよりも小さいもののなかで最も大きな節点をknots[j]と表し、xx = x - knots[j]とすると、xに対する予測値は次のように計算されます。
result = a[j] + xx * (b[j] + xx * (c[j] + xx * d[j]))
変形すると、次のようになります。
result = a[j] + b[j] * xx + c[j] * xx ^ 2 + d[j] * xx ^ 3
Spline Smooth(x, y, lambda)
説明
スプライン曲線をあてはめた結果の予測値(平滑化された値)を戻す。
xは説明変数のベクトル、yは応答変数のベクトル、lambdaは平滑化パラメータです。lambdaの値が大きくなるほどなめらかなスプライン曲線になります。
SVD(A)
説明
特異値分解。
Sweep(A, <indices>)
説明
掃き出し法による行列の計算を行う。
Trace(A)
説明
トレース、つまり正方行列の対角要素の和。
Transpose(A)
説明
行列Aの行と列を転置する。
戻り値
転置した行列
引数
A
行列。
等価表現
A`
V Concat(A, B, ...)
説明
2つ以上の行列を縦に連結する。
戻り値
行列
引数
2つ以上の行列。
V Concat To(A, B, ...)
説明
2つの行列を縦に連結し、その結果を元の変数に割り当てる。
戻り値
行列
引数
2つ以上の行列。
V Max(matrix)
説明
行列(matrix)の各列の最大値を含む行ベクトルを戻す。
V Mean(matrix)
説明
行列(matrix)の各列の平均を含む行ベクトルを戻す。
V Median(matrix)
説明
行列(matrix)の各列の中央値を含む行ベクトルを戻す。
V Min(matrix)
説明
行列(matrix)の各列の最小値を含む行ベクトルを戻す。
V Quantile(matrix, p)
説明
行列(matrix)の各列の第p分位点を含む行ベクトルを戻す。
V Standardize(matrix)
説明
行列の各列を、平均0、標準偏差1に標準化して戻す。
V Std(matrix)
説明
行列(matrix)の各列の標準偏差を含む行ベクトルを戻す。
V Sum(matrix)
説明
行列(matrix)の各列の合計を含む行ベクトルを戻す。
Varimax(matrix, <norm=1>)
説明
Varimax回転を実行する。
戻り値
回転後の行列と直交行列を含むリスト
引数
matrix
回転させる行列。
norm
正規化を伴う回転の場合は1、正規化を伴わない回転の場合は0を指定する。デフォルト値は1です。
Vec Diag(A)
説明
正方行列Aの対角要素から成るベクトルを作成する。
戻り値
行列
引数
A
正方行列。
ノート
正方行列でない行列を指定した場合はエラーが生じます。
Vec Quadratic(symmetric matrix, rectangular matrix)
説明
n × m行列を作成する。ハット値などの計算に使われます。
戻り値
行列
引数
2つの行列。最初の行列は対称行列でなければならない。
等価表現
Vec Diag(X*Sym*X‘)