一元配置分散分析モデルは、グループごとにそれぞれ異なる平均をもつモデルです。JMPの「モデルのあてはめ」で一元配置分散分析を行うには、応答変数に連続尺度の列を、効果に名義尺度の列を選択します。ここでは、「Drug.jmp」サンプルデータに対して一元配置分散分析を行います。
1. [ヘルプ]>[サンプルデータライブラリ]を選択し、「Drug.jmp」を開きます。
2. [分析]>[モデルのあてはめ]を選択します。
3. 「y」を選択し、[Y]をクリックします。
4. 「薬剤」を選択し、[追加]をクリックします。
5. [実行]をクリックします。
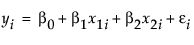
この例の「薬剤」は名義尺度の列であり、「a」、「d」、「f」という3つの値があります。「モデルのあてはめ」の「標準最小2乗」は、この「薬剤」の列を1、0、−1という数値をもつダミー変数に変換して、線形モデルをあてはめます。この例における線形モデルのモデル式は、次のようになります。

ここで、
– yiは、第i行における、応答の観測値。
– x1iは、第i行における、1番目のダミー変数の値。
– x2iは、第i行における、2番目のダミー変数の値。
– b0、b1、b2はそれぞれ、切片パラメータ、1番目のダミー変数に対する係数パラメータ、2番目のダミー変数に対する係数パラメータ。
– eiは独立した正規分布に従う誤差項。
1番目のダミー変数x1は、「薬剤」 = aの場合は1とし、「薬剤」 = dの場合は0とし、「薬剤」 = fの場合は−1とします。

2番目のダミー変数x2は、次のような値を取ります。

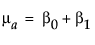
このパラメータ化においては、3群の平均は、それぞれ次のように表されます。



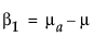
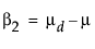
これらの式を、biについて解くと、次のようになります。
(全水準にわたる平均)


つまり、このモデルにおける2つのダミー変数は、各水準の指示変数から、最後の水準の指示変数を引いたものです。指示変数とは、その水準に属しているときに1、属していないときに0を取る変数のことです。そして、これらのダミー変数に対するパラメータは、該当する水準の平均から、全水準の平均を引いた差を表します。このようなパラメータの解釈については、付録統計的詳細を参照してください。
図4.1は、「薬剤」に対する「てこ比プロット」と「最小2乗平均表」です。図4.2は、「薬剤」データの一元配置分析の「パラメータ推定値」レポートと「効果の検定」レポートです。
図4.1 「てこ比プロット」と「最小2乗平均表」
図4.2 「Drug.jmp」の「パラメータ推定値」と「効果の検定」
[最小2乗平均の対比]を使って、「薬剤」効果をさらに詳しく分析しましょう。
1. 「薬剤」の赤い三角ボタンをクリックして、[最小2乗平均の対比]を選択します。
2. 「a」と「d」の平均を「f」と比較する対比を作成するため、「a」と「d」のプラス記号、および、「f」のマイナス記号をクリックしてください(図4.3)。
3. [完了]をクリックします。
図4.3 薬剤実験の対比の例
「対比」レポートを見ると、薬剤「f」の平均は、それ以外の2つの薬剤の平均をさらに平均した値と有意に異なります。