実験計画(DOE) > タグチ計画 > タグチ計画の概要
公開日: 04/01/2021

タグチ計画の概要

タグチ計画では、因子を制御因子と誤差因子という2種類に分けて考えます。

制御因子に対しては内側配置計画が作成されます。

誤差因子に対しては外側配置計画が作成されます。

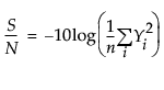
全体の実験は、外側配置の実験と内側配置の実験のすべての組み合わせです。実験においては、誤差因子も制御する必要があります。内側配置の設定ごとに,誤差因子のすべての設定における平均と標準偏差を求め,またSN比(signal-to-noise ratio)を求めます。表14.1は、SN比の一覧です。

表14.1 推奨されるSN比

目標

SN比の式

目標値に合わせる場合(望目特性の場合)

Equation shown here

大きい方が良い場合(望大特性の場合)

Equation shown here

小さい方が良い場合(望小特性の場合)

Equation shown here

より詳細な情報が必要な場合や、質問があるときは、JMPユーザーコミュニティで答えを見つけましょう (community.jmp.com).