この節では、「工程能力分析」プラットフォームでサポートされている確率分布の確率密度関数fを紹介します。また、Johnson分布とSHASH分布を除くすべての分布の期待値と分散も紹介します。
,
,
, 
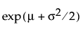
E(X) = μ
Var(X) = σ2
,
,
, 
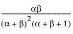
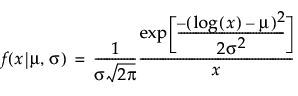
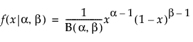
E(X) = 
Var(X) = 
ここで、B(·)はベータ関数です。
,
, 
E(X) = σ
Var(X) = σ2
,
,
, 
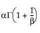
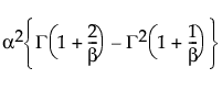
E(X) = ασ
Var(X) = ασ2
ここで、Γ(·)はガンマ関数です。
Johnson Su分布
,
,
, 
Johnson Sb分布
,
, 
Johnson Sl分布
,
, 
上式で、φ(·) は標準正規分布の確率密度関数です。
,
,
, 
E(X) =
Var(X) =
二重正規混合分布と三重正規混合分布は、いずれも次のような確率密度関数になっています。

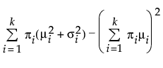
E(X) =
Var(X) =
ここで、μi, σi, πiは、i番目のグループのそれぞれ平均・標準偏差・割合であり、φ(·) は、標準正規分布の確率密度関数です。二重正規混合分布では、kは2です。三重正規混合分布では、kは3です。各正規分布の平均と標準偏差、および、全体に対する割合を推定します。
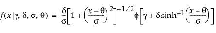
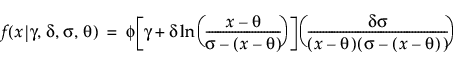
,
, 0 < δ, 0 < σ
ここで
φ(·) は標準正規分布の確率密度関数です。

注: γ = 0、δ = 1のSHASH分布は、位置、尺度がそれぞれθ、σの正規分布と同じです。
,
, 
E(X) =
Var(X) =
ここで、Γ(·)はガンマ関数です。