公開日: 04/01/2021

スコアプロットにおけるグループの比較

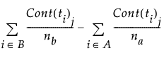
スコアプロットにおけるグループの比較では、変数jの相対スコア寄与度は、グループBの平均寄与度とグループAの平均寄与度との差です。

Equation shown here

ここで、

A = グループAにおける観測の集合

B = グループBにおける観測の集合

na = グループAの観測数

nb = グループBの観測数

より詳細な情報が必要な場合や、質問があるときは、JMPユーザーコミュニティで答えを見つけましょう (community.jmp.com).