「モデルのあてはめ」ウィンドウで[PLS回帰]手法を選択すると、デフォルトで[Xの標準化]が選択されます。この場合、モデル効果として指定されたすべての列と、交互作用項または多項式項に関与するすべての列が標準化されます。
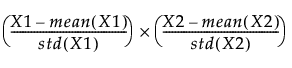
X1とX2の2列があり、「モデルのあてはめ」ウィンドウでモデル効果として交互作用項「X1*X2」を入力したとします。ここで[Xの標準化]を選択した場合、X1とX2が両方とも、交互作用項の作成前に中心化および尺度化されます。作成される交互作用項は、次式で計算されます。

この後、すべてのモデル項が、[中心化]オプションと[尺度化]オプションの選択状況に従って、モデルに組み込まれる前に、再度、中心化と尺度化されます。
[Xの標準化]オプションが選択されておらず、[中心化]と[尺度化]が両方とも選択されている場合、モデルに組み込まれる項は次式で計算されます。
