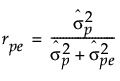
「級内相関(バイアス除去後)」は、次のように計算されます。

「級内相関(バイアス含む)」は、次のように計算されます。

「級内相関(バイアスと交互作用含む)」は、次のように計算されます。

公算誤差(probable error; 確率誤差、蓋然誤差)は、次のように計算されます。

これらの式で使われている記号の意味は、以下の通りです。
= 繰り返し誤差(純粋誤差)の分散推定値
= 部品(製品)の分散推定値
= バイアス要因の分散推定値
= 交互作用の分散推定値
Z0.75 = 標準正規分布の75%分位点