公開日: 04/01/2021

スペクトラル密度の統計的詳細

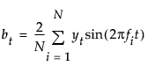
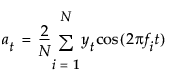
Fourier級数の係数を最小2乗法によって推定した場合は、次式のようになります。

これらの係数から、fi = i/Nに対するピリオドグラムI(fi) = (N/2)(ai2 + bi2)が計算されます。これは、周波数fiでの強度(intensity)を表しています。

ピリオドグラムを平滑化して1/(4p)を掛けものが、「スペクトル密度」としてプロットされます。

より詳細な情報が必要な場合や、質問があるときは、JMPユーザーコミュニティで答えを見つけましょう (community.jmp.com).