「加速寿命試験計画」プラットフォームでは、故障時間の確率分布として、対数正規分布かWeibull分布を選択できます。
この節では、それらの分布の確率密度関数と累積分布関数を説明します。Weibull分布の詳細については、『信頼性/生存時間分析』の寿命の一変量を参照してください。
ばらつきが指数的に生じるデータに対しては、対数正規分布がよく使用されます。対数正規分布は、同一で独立した、小さな正の値をとる確率変数を多数、掛け合わすことにより導出されます。対数正規分布の変数を対数変換したものは、正規分布に従います。確率分布関数の曲線は、右に大きく歪んでいます。
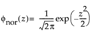
対数正規分布は、位置パラメータμと形状パラメータσによってパラメータ化されます。対数正規分布の確率密度関数と累積分布関数は次の通りです。対数の底はeとします。

,
なお、

および

は、それぞれ、標準正規分布(N(0,1))の確率密度関数と累積分布関数です。
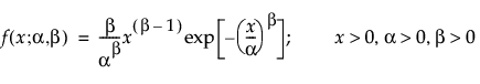
Weibull分布は、ハザードが時間とともに上昇または低下する故障時間データに適しています。形状パラメータの値に基づいて、さまざまな種類のデータを非常に柔軟にモデル化できるため、信頼性分析で広く使われています。
Weibullの確率密度関数と累積分布関数は、次式のとおりです。


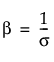
αは尺度パラメータ、βは形状パラメータです。Weibull分布は、β = 1のときは指数分布になります。
「加速寿命試験計画」や「寿命の二変量」などでは、σを尺度パラメータ、μを位置パラメータとして、Weibull分布の確率密度関数や累積分布関数が表現されています。これらのパラメータは、次のように、αとβに関係しています。

および

Weibull分布に従う確率変数を対数変換すると最小極値分布に従うことに基づき、Weibull分布の確率密度関数と累積分布関数は、次のようにこれらのパラメータで表されます。なお、μ = log(α)とσ = 1/βという関係になっています。


これらの式で、

および

は、それぞれ、標準最小極値分布(μ = 0, σ = 1)の確率密度関数と累積分布関数です。
「R精度(95%信頼区間)」は、分位点に対する95%Wald信頼区間に関する指標です。