[ユニットあたり度数]の計算では、Poisson分布を正規近似して求めています。検定の仮説は、次のとおりです。

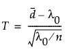
正規近似においては、次のような検定統計量を使用します。

ここで、nは標本サイズ、
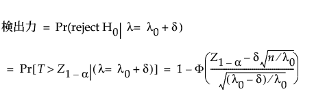
は標本における1ユニットあたりの不適合数の平均です。検定統計量Tは、ほぼ正規分布に従うと仮定されます。検出力は、対立仮説の下でのTの分布に基づいて計算されます。

ここで、Φ()は標準正規分布の累積分布関数、Z1-pは、標準正規分布累積確率(1 - p)における分位点です。
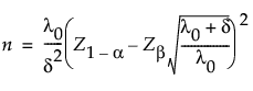
帰無仮説を棄却するための希望の検出力を1 - βとすると、標本サイズは次のように求められます。

δには閉じた解がないため、検出力とνが与えられたときのdを求めるときには数値的なアルゴリズムが使われています。
JMPにおける計算についての詳細は、Barker(2011, Section 2.5)を参照してください。