k標本平均の計算は、次のように行われます。

ここで
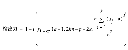
αは有意水準。
σは誤差の標準偏差(k群において同一と仮定)。
nはグループごとの標本サイズ。
pは追加パラメータの個数。
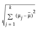
は、想定されるk個の平均の平均。
f1-αは、F(k - 1, kn- p - k)分布の累積確率(1 - α)における分位点。
F(x, df1, df2, nc)は、自由度df1およびdf2と非心度パラメータncを持つF分布のxにおける累積確率。
検出力を求めるときにはF分布の累積分布関数が使われていますが、nを求めるときには数値的なアルゴリズムが使われています。
ここでの「平均の差」は、次のように計算されます。

JMPにおける計算についての詳細は、Barker(2011, Section 2.3)を参照してください。