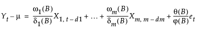
入力系列の数をmとしたとき、標準的な伝達関数モデルは次のように表せます。

この式の記号は次の通りです。
Ytは、出力系列
X1~Xmは、m個の入力系列
etは、ノイズ系列
X1, t-d1は、tよりd1期前の系列X1
mは、モデルの平均
j(B)およびq(B)は、ARIMAモデルの自己回帰多項式と移動平均多項式
wk(B)およびdk(B)は、個々の伝達関数の分子および分母関数(または多項式)。kは、1~m個の入力系列に対する通し番号。
上記のモデルの多項式には、非季節性を表す部分と、季節性を表す部分の両方を含めることができます。いずれか1つだけを含めることもできますし、または季節ARIMAのように非季節性と季節性の積から成るものを含めることもできます。モデルを指定する際、含めたくない部分がある場合は、その部分の値をデフォルトの0のままにします。