区間打ち切りでないデータの場合、初期状態のレポートには、「要約」と「分位点」のデータが表示されます(図13.15)。「要約」データには、グループごと(グループがある場合)、およびデータ全体に対する故障数と打ち切り数が表示されています。他には、打ち切りを考慮して計算した生存時間の平均と標準誤差があります。これらの統計量の計算方法については、『SAS/STAT User’s Guide 14.3』(2017)を参照してください。
「分位点」データには、個々のグループごと、および、グループの組み合わせに対する生存時間(故障時間)に関する統計量が表示されています。これらの統計量としては、中央値時間(メディアン時間)と、その両側95%信頼区間の下限と上限も計算されています。「中央値時間」とは、ユニットや個体のうち半数が故障したときの時間です。また、四分位点(生存時間の25%および75%)も計算されます。
図13.15 一変量生存時間分析の要約統計量
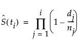
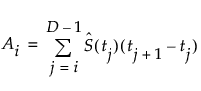
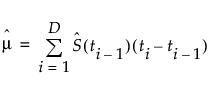
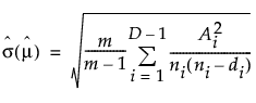
「要約」レポートには、平均生存時間の推定値と、その標準誤差が表示されます。平均生存時間の推定値は、次の式で計算されます。
。また、標準誤差は、
。
ここで



は、時間tiにおける生存率
Dは、イベントが発生した時間の時点数
niは、tiの直前に生存しているユニットの数
diは、tiにおいて故障したユニットの数
なお、t0は0と定義されています。
複数のグループがある場合、「グループ間での検定」表に、グループ間を比較する検定が表示されます。統計量や生存曲線の比較については、Kalbfleisch and Prentice(1980, ch. 1)、Hosmer and Lemeshow(1999, ch. 2)、Klein and Moeschberger(1997, ch. 7)で取り上げられています。
図13.16 グループ間での検定
検定
「すべてのグループの生存関数が同じである」という帰無仮説に対する2つの統計的検定。
カイ2乗
統計的検定のためのカイ2乗近似。
「ログランク」検定は、長い生存時間に対して、より大きな重みを置く検定で、比較されるグループのハザード関数の比がほぼ一定である場合に適しています。「ハザード」とは、ある特定の時点における瞬間故障率を指し、死亡率(mortality rate)、死力(force of mortality)とも呼ばれます。
「Wilcoxon」検定は、短い生存時間に対して、より大きな重みを置く検定で、誤差がロジスティック分布に従っている場合に最適な順位検定です。Kalbfleisch and Prentice(1980)を参照してください。
自由度
統計的検定の自由度。
p値(Prob>ChiSq)
生存関数がすべてのグループで同じであるという仮定のもとで、カイ2乗値が現在の値よりも大きくなる確率。
図13.17は、あるグループにおけるKaplan-Meier法による生存率の推定を行った結果です。
図13.17 「生存率の推定」表の例
注: 最後に記録された時間が打ち切りデータである場合、レポートの平均推定値はバイアス(偏り)をもち、過小評価されます。