公開日: 04/01/2021

変換

ここでは、ストレスで説明した表記を使用します。変換は、類似度の実測値を尺度化するために行います。変換を通じてデータ内の特定の構造を考慮することで、多次元尺度構成による類似度の実測値の表現が改善されます。変換関数のパラメータが、目的関数を最小化して推定すべきパラメータとして追加されます。

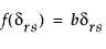
比尺度

比尺度の変換式:

Equation shown here

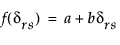
間隔尺度

間隔尺度の変換式:

Equation shown here

順序尺度

順序尺度のデータは、変換されるわけではなく、アルゴリズムに最小2乗法ではなく単調回帰が使用されます。

より詳細な情報が必要な場合や、質問があるときは、JMPユーザーコミュニティで答えを見つけましょう (community.jmp.com).