多変量分析
>
判別分析
>
「判別分析」プラットフォームの統計的詳細
> 群間共分散行列
公開日: 11/25/2021
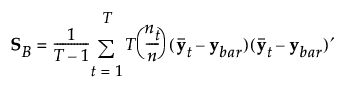
群間共分散行列
グループ間の共分散行列(群間共分散行列)は、
表5.2
の記号によって、次のように表されます。
より詳細な情報が必要な場合や、質問があるときは、JMPユーザーコミュニティで答えを見つけましょう
(community.jmp.com)
.
このサイトはJavaScriptを有効にすると最適に動作します。