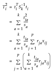
p個の変数とk個の成分をもつPCAモデルまたはPLSモデルのT2寄与度は、次のように計算されます。

ここで
ti = i番目の観測における、k個のスコアからなるベクトル
Sk = 履歴データでのk個のスコアから計算された標本共分散行列(この行列は、対角行列です)主成分分析モデルの場合、Skは、対角要素が固有値となっています。
sa = Skのa番目の対角要素
rja = PCAモデルの場合はa番目の固有ベクトルのj番目の要素、また、PLSモデルの場合はRk負荷量行列のa番目の列。Rkは、スコア行列TkをX行列に関連づける行列であり、Tk=XRkとなっている行列です。
xij = i番目の観測値におけるj番目の変数
メモ: 総和の最後を示す p項は、変数の寄与率です。
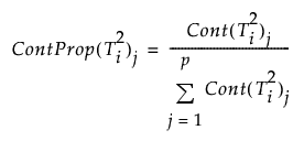
各変数の寄与率は各スコアへの寄与率の和で、正規化したスコア値で重み付けされています。正規化したスコア値が大きい場合、
への寄与率は大きいと見なされ、変数の寄与率は大きくなります。

そこで、変数jの寄与率は、次のように計算されます。

メモ: T2の寄与率を寄与度から求める際には、負の寄与度をゼロにして計算します。PCAモデルやPLSモデルにX変数を射影することで寄与度は求められていますが、変数間の関係により寄与度が負になることもあります。寄与率を求める際には、そのような負の寄与度をゼロにし、正となっている寄与度の合計に占める割合として計算されます。
PCAモデルにおける寄与率と負の寄与率の詳細については、Kourti and MacGregor (1996)を参照してください。PLSモデルにおける寄与率の詳細については、Li et al.(2009)を参照してください。
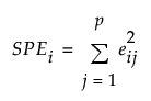
PCAモデルおよびPLSモデルにおいて、変数 jのXモデルまでの距離iに対する寄与度は、次のように計算されます。

寄与度には、次のような関係があります。

そこで、変数jの寄与率は、次のように計算されます。

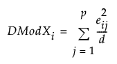
PCAモデルおよびPLSモデルにおいて、変数 jのSPEiに対する寄与度は、次のように計算されます。

寄与度には、次のような関係があります。

変数jの寄与率は、次のように計算されます。

スコア寄与度の計算は、T2に対する寄与度の場合と同じですが、スコアプロットで選択された次元に対してのみ算出されます。