XBar-S管理図の管理限界は、次式で計算されます。
XBar管理図の下側管理限界(LCL) = 
XBar管理図の上側管理限界(UCL) = 
S管理図の下側管理限界(LCL) = 
S管理図の上側管理限界(UCL) = 
S管理図の中心線: 第iサブグループ(Kはシグマの乗数)の中心線は、デフォルトではsiの期待値の推定値を示し、
で計算されます。この式で、
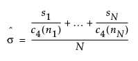
はsの推定値です。
XBar-S管理図の標準偏差の推定値は、次のようになります。

ここで
= サブグループ平均の重み付き平均
K = シグマの乗数(デフォルトで3に設定)
s = 工程の標準偏差
ni = i番目のサブグループの標本サイズ
c4(n)は、母標準偏差が1であるn個の独立した正規分布に従う確率変数の標準偏差の期待値
c5(n)は、母標準偏差が1であるn個の独立した正規分布に従う確率変数の標準偏差の標準誤差
Nは、ni ≥ 2 であるサブグループの数
siは、i番目のサブグループから計算された標準偏差