状況によっては、応答変数の値が、「合格」/「不合格」のような二値の場合もあるでしょう。この例では、二項分布に従う応答変数に対する非線形計画を作成します。因子は1つとします。非線形計画、特に応答変数が二項分布に従う場合の非線形計画の詳細については、Gotwalt et al.(2009)を参照してください。
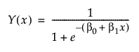
応答変数における二項分布の成功確率が、1つの因子xの関数として表されるものとします。この例では、次のように、リンク関数がロジット関数である一般化線形モデルを仮定します。

なお、二項分布に従う応答変数Yの分散は、成功確率によって異なる点にも注意してください。
このようなロジスティックモデルは、未知のパラメータ(β0, β1)に関して非線形です。「非線形計画」プラットフォームを使って、実験計画を作成していきます。目標は、二項分布に従う応答変数Yに対するxの効果をモデル化するときの最適な計画を立てることです。
そのような非線形計画を作成するには、説明変数の列、あてはめる非線形モデル(ロジスティック関数)の計算式を含む列、重みの計算式を含む列があるデータテーブルを用意する必要があります。
計画を作成するためのデータテーブル
「Design Experiment」フォルダの「One Factor Logistic Design.jmp」データテーブルには、次の列が含まれています。
• 説明変数xの列。なお、この列は「コード変換」列プロパティによって、下限値が0、上限値が1に設定されています。
• 応答変数Yの列。これは、実験によって収集される応答(0/1)を記録するための列です。
• リンク関数の線形部分の計算式を含む「線形式」の列。計算式を表示するには、「列」パネルで「線形式」の右側にあるプラス(+)記号をクリックします。この計算式には、パラメータb0およびb1があり、それらに対して初期値が設定されています。パラメータに対するこれらの初期値は、計算式を定義する際に決める必要があります。これらの初期値は、計算式エディタウィンドウの中央下に表示されます。
図23.11 線形予測子の計算式とパラメータの初期値
• 「Var Y」列には、想定されるロジスティックモデルに基づいた、応答の分散が、計算式として含まれています。これは、ロジスティックモデルにおける二項分布の分散はp(1-p)です。この pは、ロジスティック関数により決められます。この分散の列は、重みの列として使用されます。
• 「Pred P」列には、ロジスティック関数が含まれています。
1. [ヘルプ]>[サンプルデータライブラリ]を選択し、「Design Experiment」フォルダの「One Factor Logistic Design.jmp」を開きます。
2. [実験計画(DOE)]>[特殊な目的]>[非線形計画]を選択します。
3. 「Y」を選択し、[Y, 目的変数]をクリックします。
4. 「Linear Pred」を選択し、[X, 予測式列]をクリックします。
5. 「Var Y」を選択し、[重み]をクリックします。
6. [OK]をクリックします。
図23.12 「非線形計画」ウィンドウ
「因子」アウトラインに、下限値と上限値を0と1に指定した因子xが表示されます。「パラメータ」アウトラインには、2つのモデルパラメータがあり、分布はどちらも正規分布に設定されています。「値」におけるこれらのデフォルト値は、パラメータの初期値から計算されたものです。このアウトラインで、想定する分布やパラメータの範囲を変更することもできます。ここでは、表示された設定をそのまま使用します。デフォルトの実験回数は10です。
7. 「非線形計画」の赤い三角ボタンをクリックし、[詳細オプション]>[モンテカルロ球体数]を選択します。局所的な最適計画を生成するため、球体数を0に設定します。[OK]をクリックします。
8. [計画の作成]をクリックします。
9. [テーブルの拡張]をクリックします。
「One Factor Logistic Design.jmp」に実験回数10の計画が追加されます(図23.13)。最適化の結果は乱数に依存するため、実際に作成される計画は以下の結果とは異なります。
図23.13 「One Factor Logistic Design.jmp」の拡張計画
データテーブルに保存されたモデルは、計画の作成に使用した、「Linear Pred」(線形式)で定義される非線形モデルであり、ロジスティック回帰モデルそのものではありません。データを収集したら、リンク関数がロジット関数である一般化線形モデル、つまり、ロジスティック回帰モデルをあてはめてください。