単純な対応分析においては、次式のような特異値分解が行われます。

ここで
• Pは、合計度数(総和)で度数を割った値を要素とする行列
• rおよびcは、Pの行和と列和
• DrとDcは、rおよびcを対角要素にもつ対角行列
• Lは、特異値の列ベクトル
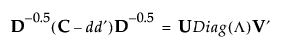
一方、多重対応分析においては、次式のような特異値分解が行われます。

ここで
• Cは、Burt表
• dは、Cの列和から成る列ベクトル(Cは対称なので、dは行和でもあります)
• Dは、dの値から成る対角行列
多重対応分析での「詳細」レポートの「慣性」は、列ベクトルLです。また、「特異値」は、それら「慣性」の平方根です。列座標は、次のように計算されます。
